Предмет: Математика,
автор: zohrequrbanova5
срочнооооооооооооооооо
Приложения:
Ответы
Автор ответа:
0
Ответ: 1
Пошаговое объяснение:
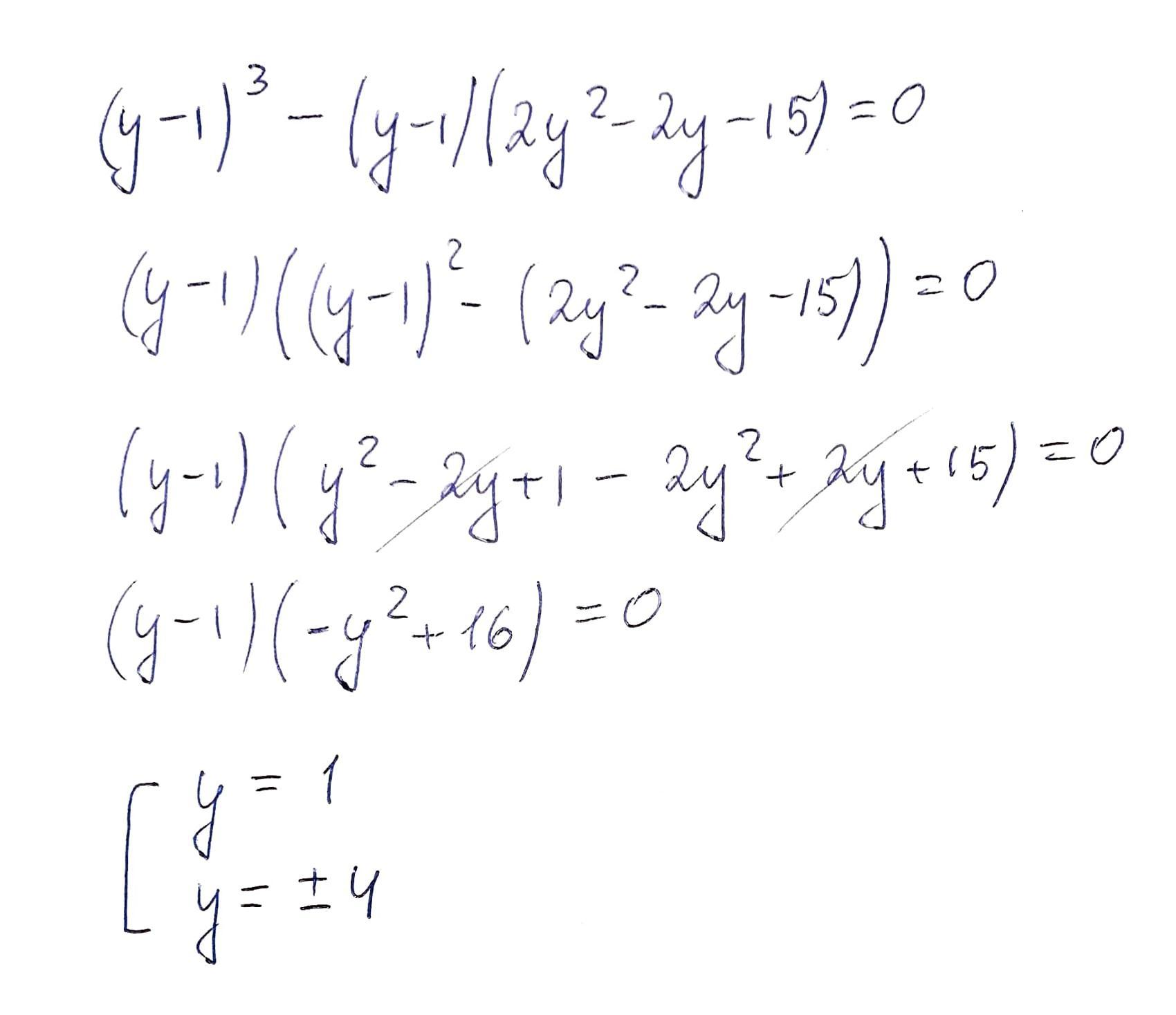
Решение уравнения на прикреплённой картинке.
Тогда сумма корней: 1 + 4 - 4 = 1
Приложения:
Похожие вопросы
Предмет: Русский язык,
автор: sonya248
Предмет: Русский язык,
автор: RPS2010
Предмет: Русский язык,
автор: рррр103
Предмет: Английский язык,
автор: malina2107
Предмет: Литература,
автор: maksimovaanastasya20