Предмет: Физика,
автор: svetlanacuguevskaa98
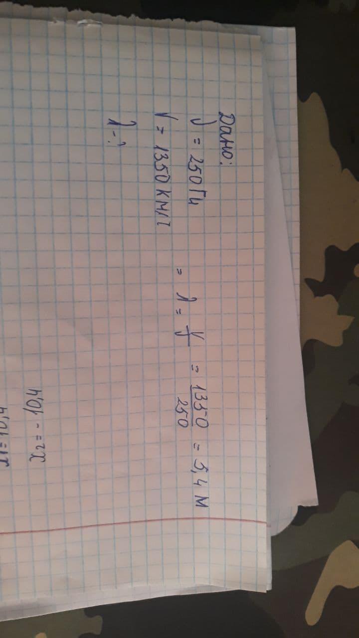
Определите длину волны при частоте равной 250 Гц, если скорость распространения волны равна 1350 км/ч.
Ответы
Автор ответа:
0
Ответ:
Ответ во вложении
Объяснение:
Приложения:
Похожие вопросы
Предмет: Қазақ тiлi,
автор: alina56762300
Предмет: Русский язык,
автор: nojabr0786
Предмет: Русский язык,
автор: Аноним
Предмет: Українська мова,
автор: nastya297533
Предмет: Информатика,
автор: attack14