Предмет: Алгебра,
автор: mingalevrusa
помогите пожалуйста
Приложения:
Ответы
Автор ответа:
0
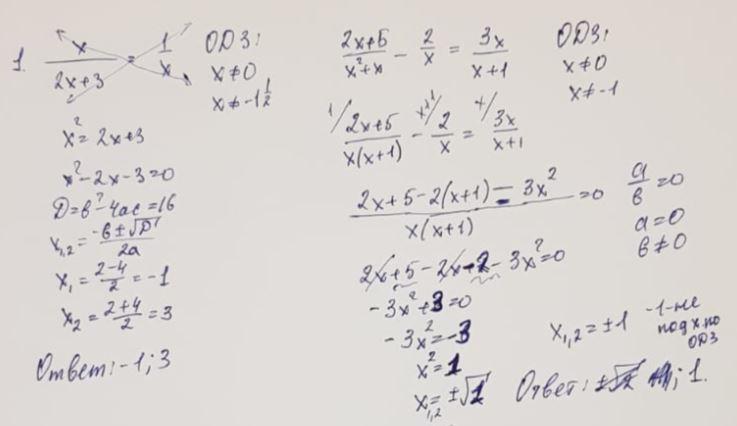
Ответ:
Объяснение:
1. Ищем общий знаменатель
2. Биквадратное уравнение и замена переменной
Приложения:
Похожие вопросы
Предмет: Русский язык,
автор: ляна17
Предмет: Другие предметы,
автор: Миша56711
Предмет: Русский язык,
автор: Vary1189
Предмет: Английский язык,
автор: diana1231363
Предмет: Обществознание,
автор: Аноним