Предмет: Математика,
автор: Аноним
даю 40 баллов!!!
Пожалуйста решите пример по действиям!!!!
Приложения:
Ответы
Автор ответа:
1
Ответ:
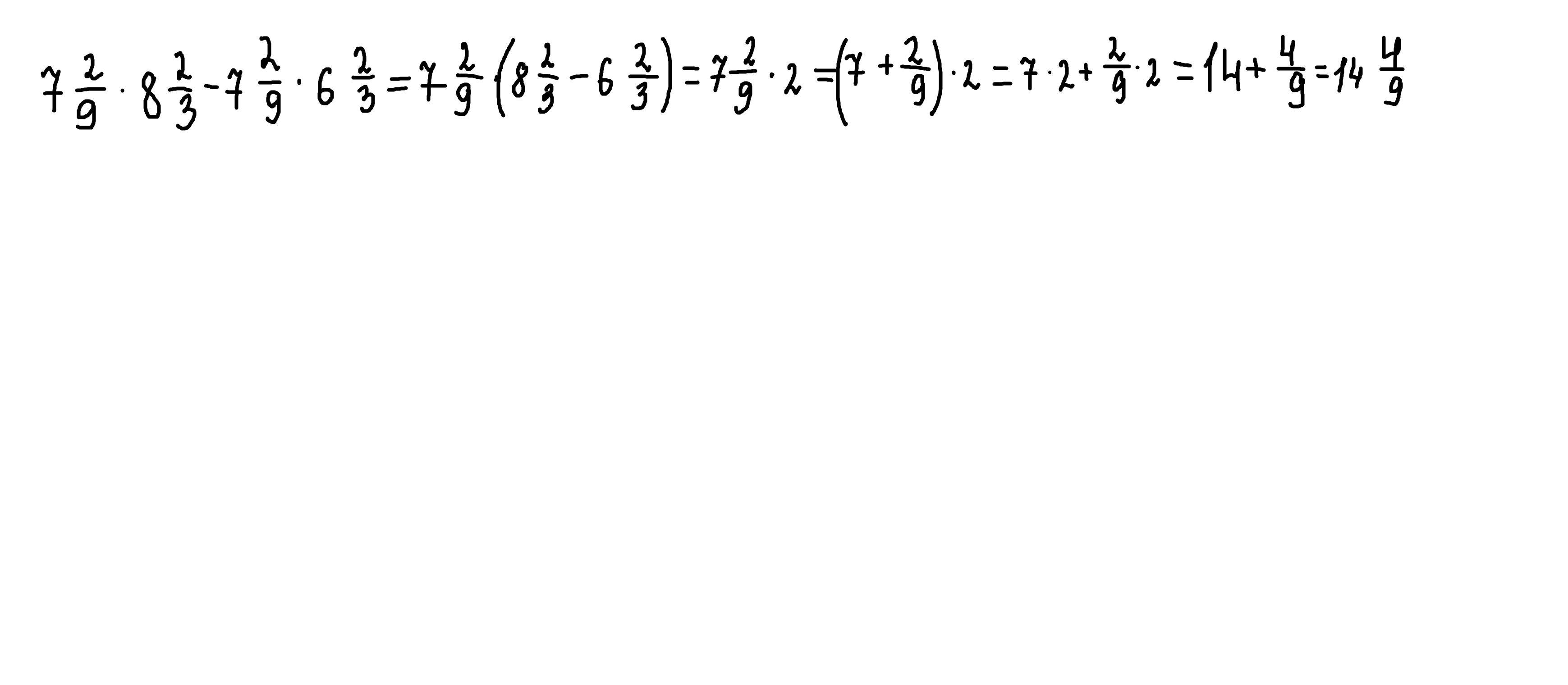
14 4/9
Пошаговое объяснение:
здесь не просто надо решить по действиям,а решить рациональным способом,вынесем за скобки общий множитель,потом выполним вычитание и умножение
Приложения:
Автор ответа:
0
Ответ:вот
Пошаговое объяснение:
Приложения:
Похожие вопросы
Предмет: Русский язык,
автор: viktoriya20032004
Предмет: Другие предметы,
автор: lizamix9
Предмет: Другие предметы,
автор: Аноним
Предмет: Русский язык,
автор: Tunar124