Предмет: Алгебра,
автор: akzereserikbay4

помогите пожалуйста!!
Ответы
Автор ответа:
1
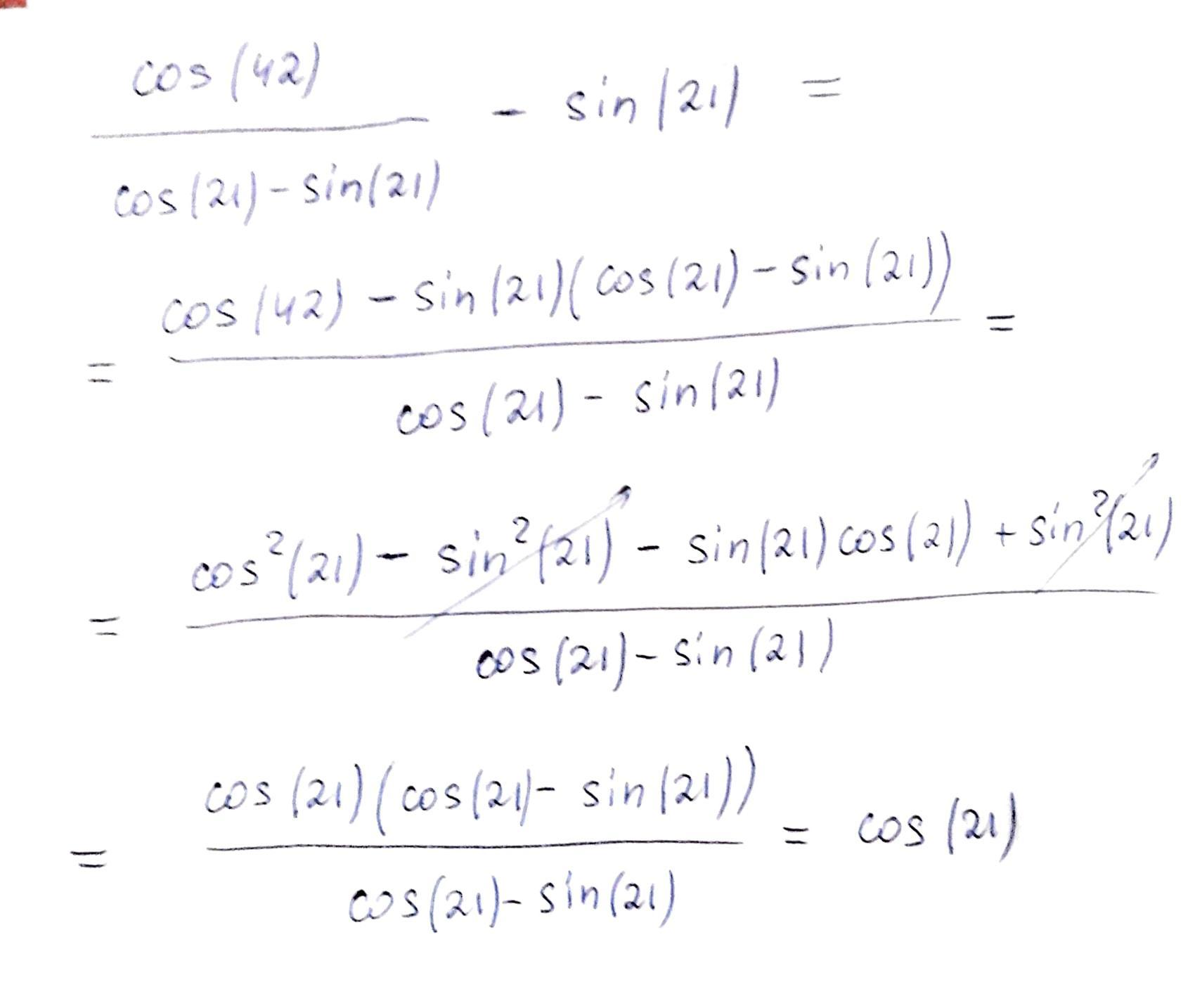
Решение на прикреплённой картинке
Привели к общему знаменателю, раскрыли скобки, расписали косинус двойного угла, привели подобные и сократили дробь
Приложения:
artemijkurganov:
Если какой-то переход не понятен, можно спрашивать
спасибо огромное, всё понятно!!:)
Класс
Похожие вопросы
Предмет: Русский язык,
автор: dilnunicorn24
Предмет: Русский язык,
автор: koktemka84
Предмет: Русский язык,
автор: turubarka81
Предмет: Английский язык,
автор: kiraknyaz1674
Предмет: Геометрия,
автор: Kvug668