Предмет: Алгебра,
автор: Qwerty398170
Помогите с системой пожалуйста дам 80 баллов можете решить вторым способом как на фото втором пожалуйста
Приложения:
Ответы
Автор ответа:
1
Объяснение:
{4х-2у=2
{2х+у=7 => у=7-2х
4х-2(7-2х)=2
4х-14+4х=2
8х=2+14
8х=16
Х=16:8
Х=2
У=7-2×2=7-4=3
Ответ : (2;3)
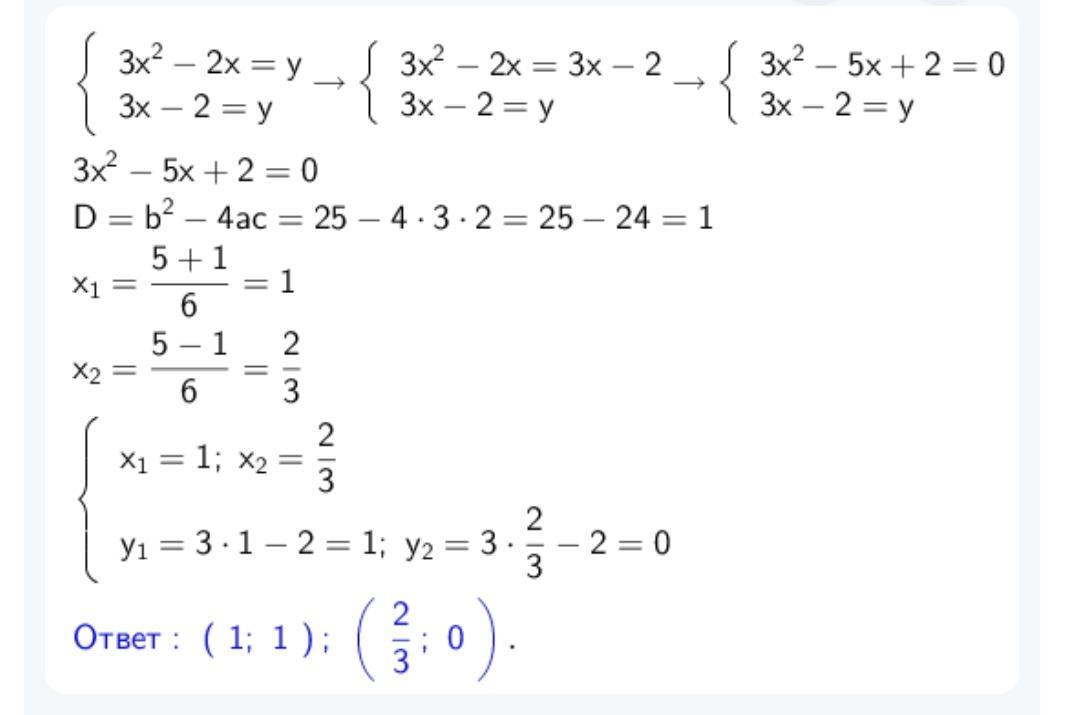
{3х-2х=у
{3х-2=у
3х-2х=3х-2
-2х= - 2
Х= - 2: (-2)
Х=1
3×1-2×1=У
3-2=У
1=У
У=1
Ответ :(1;1)
{2х^2+3у^2=1
{4х+6у=11х
{2х^2+3у^2=1
{4х-11х= - 6у
{2х^2+3у^2=1
{-7х= - 6у х=6у/7
2×((6у/7)^2+3у^2=1
2×(36у^2/49)+3у^2=1
72у^2 /49+3у^2=1
72у^2+147у^=49
219у^2=49
У^2=49/219
У1=корень (49/219)=
=7×корень219/корень219×корень219)=7корень219 /219
У2= - 7корень219 /219
Х1=6×7корень219 /219:7=6корень219 /219=
=2корень219 /73
Х2=6×(-7корень219 /219): 7=
= - 6корень219 /219= - 2корень219 /73
Ответ ; (2корень219 /73 ; 7корень219 /219)
( - 2корень219 /73 ; - 7корень219 219)
Похожие вопросы
Предмет: Окружающий мир,
автор: Аноним
Предмет: Русский язык,
автор: RooleZool
Предмет: Русский язык,
автор: lenarishe
Предмет: Биология,
автор: bes92
Предмет: Алгебра,
автор: FloverMil