Предмет: Алгебра,
автор: lekamalaia
ФОРМУЛЫ СОКРАЩЕННОГО УМНОЖЕНИЯ
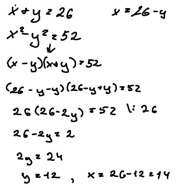
СУММА ДВУХ ЧИСЕЛ РАВНА 26 А РАЗНОСТЬ ИХ КВАДРАТОВ СОСТАВЛЯЕТ 52.НАЙДИТЕ ЭТИ ЧИСЛА
anyakrysyatnikova:
14;12
Ответы
Автор ответа:
1
Ответ:
Фото
Объяснение:
Приложения:
Похожие вопросы
Предмет: Русский язык,
автор: hulagovatanzilZaira
Предмет: Русский язык,
автор: Аноним
Предмет: Русский язык,
автор: starostinailona
Предмет: Английский язык,
автор: dianabagirova123
Предмет: Биология,
автор: mmmwee