Предмет: Алгебра,
автор: ksusaprosto62
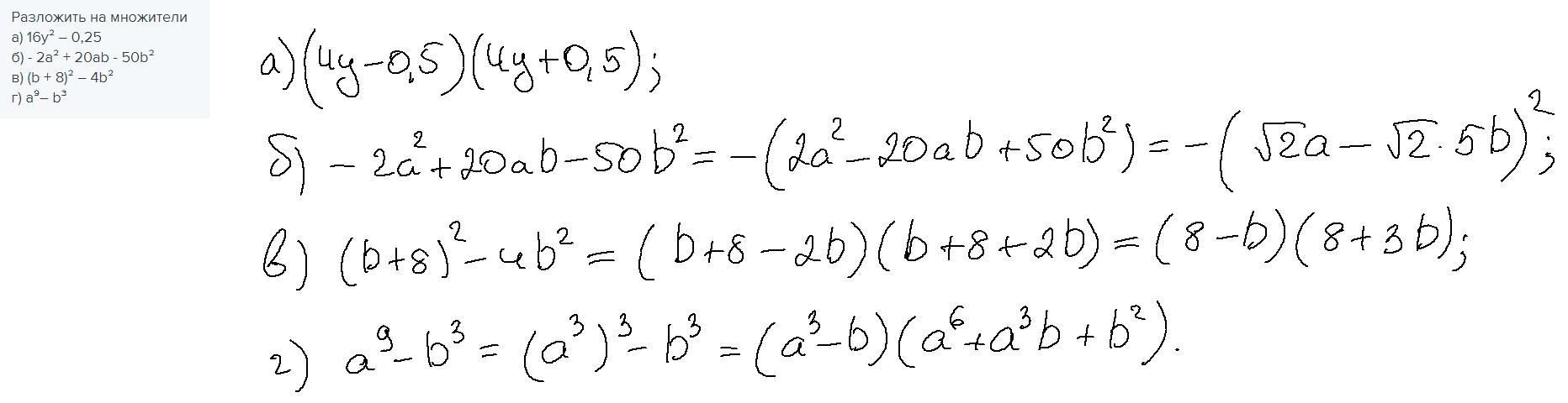
Разложить на множители
a) 16y² – 0,25
б) - 2a² + 20ab - 50b²
в) (b + 8)² – 4b²
г) a⁹– b³
Ответы
Автор ответа:
1
Ответ:
решено
Объяснение:
Приложения:
Похожие вопросы
Предмет: Другие предметы,
автор: boom961
Предмет: Русский язык,
автор: vitaliy1997skryabin
Предмет: Русский язык,
автор: Арахисик
Предмет: Биология,
автор: Jayhead
Предмет: Математика,
автор: viking65