Предмет: Алгебра, автор: daryababailova0024

Решить уравнение
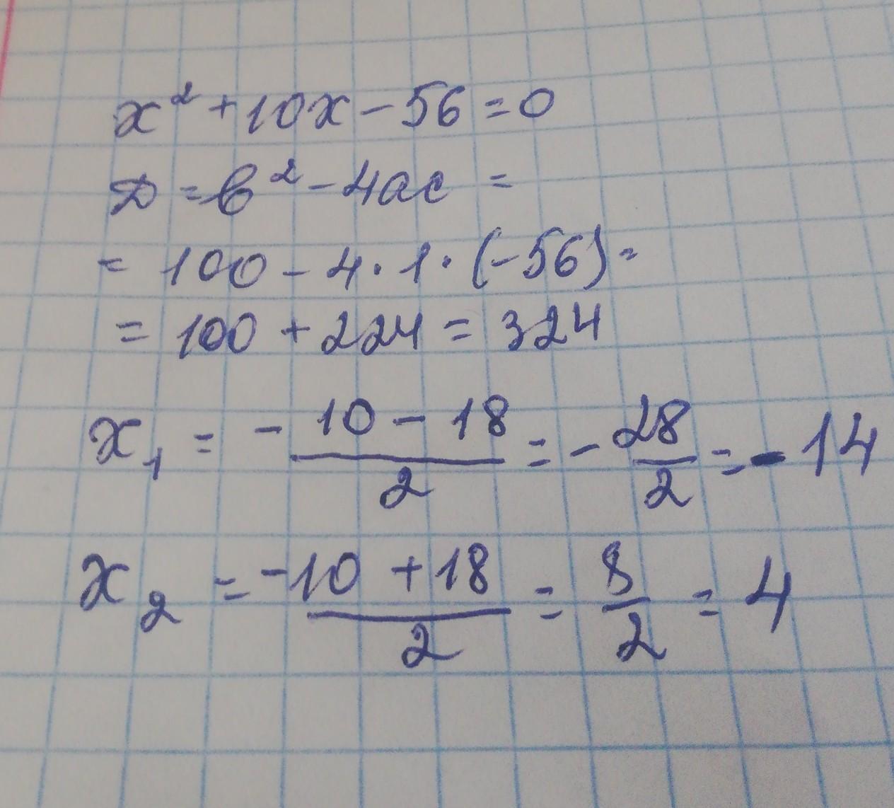
x^2+10x-56=0


87755878320: Ааааа

Ответы

Автор ответа: larisaserova53
1

Ответ:

Смотри решение на фото...

Приложения:

larisaserova53: Я решила сючерез дискриминант, может второй способ сделать ещё через разложение на множители?
larisaserova53: ещё 2)способ написала Выбирай как в классе делаете
Автор ответа: OblivionFire
1

Объяснение:

х² + 10х - 56 = 0

По т. Виета:

х=-14 и х=4.

Так как -14·4=-56

и -14+4=-10.

Приложения:
Похожие вопросы
Предмет: Русский язык, автор: manelig
Предмет: Русский язык, автор: ayana29
Вспомнилась мне одна сыроежка в лесу, где я постоянно грибы собираю.Была осень. Берёзки и осинки начали сыпать на молодые ёлочки золотые и красные пятачки. День был тёплый и даже паркий.Продвигался я осторожно, бесшумно в частом ельнике. Приподнял одну веточку — здравствуйте!Через это лесное оконце мне открылась поляна в лесу. Посередине её две берёзы. Под берёзами — пень. Рядом с пнём в зелёном брусничнике красная сыроежка. Такая огромная, каких в жизни своей я ещё не видел. Она такая старая, что края её завернулись вверх. И от этого вся сыроежка была в точности как большая глубокая тарелка, наполненная водой. В тарелке листик — маленький, сухой, жёлтый.Покряхтел я, покряхтел, опустился на свои старые колени и лёг на живот. В один дух выпил всю лесную чашу до дна.      срооочно стиль и тип текста
Предмет: Английский язык, автор: kpop9944