Предмет: Математика, автор: jobbline

решите алгебру........​

Приложения:

Ответы

Автор ответа: NNNLLL54
0

Ответ:

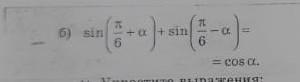
Упростим выражение в левой части, применив формулу суммы синусов:  

\displaystyle \boxed{\ sin\alpha +sin\beta =2\cdot  sin\frac{\alpha +\beta }{2}\cdot cos\dfrac{\alpha -\beta }{2}\ }\\\\\\sin\Big(\frac{\pi}{6}+a\Big)+sin\Big(\frac{\pi}{6}-a\Big)=2\cdot sin\frac{\frac{\pi}{6}+a+\frac{\pi}{6}-a}{2}\cdot cos\frac{\frac{\pi}{6}+a-\frac{\pi}{6}+a}{2}}=\\\\\\=2\cdot sin\frac{\pi}{6}\cdot cosa=2\cdot \frac{1}{2}\cdot cosa=cosa

cosa=cosa

Похожие вопросы
Предмет: Математика, автор: viking65