Предмет: Алгебра,
автор: snowpuma
Помогите ребята!!!!!!!!!!!!
Приложения:
Ответы
Автор ответа:
1
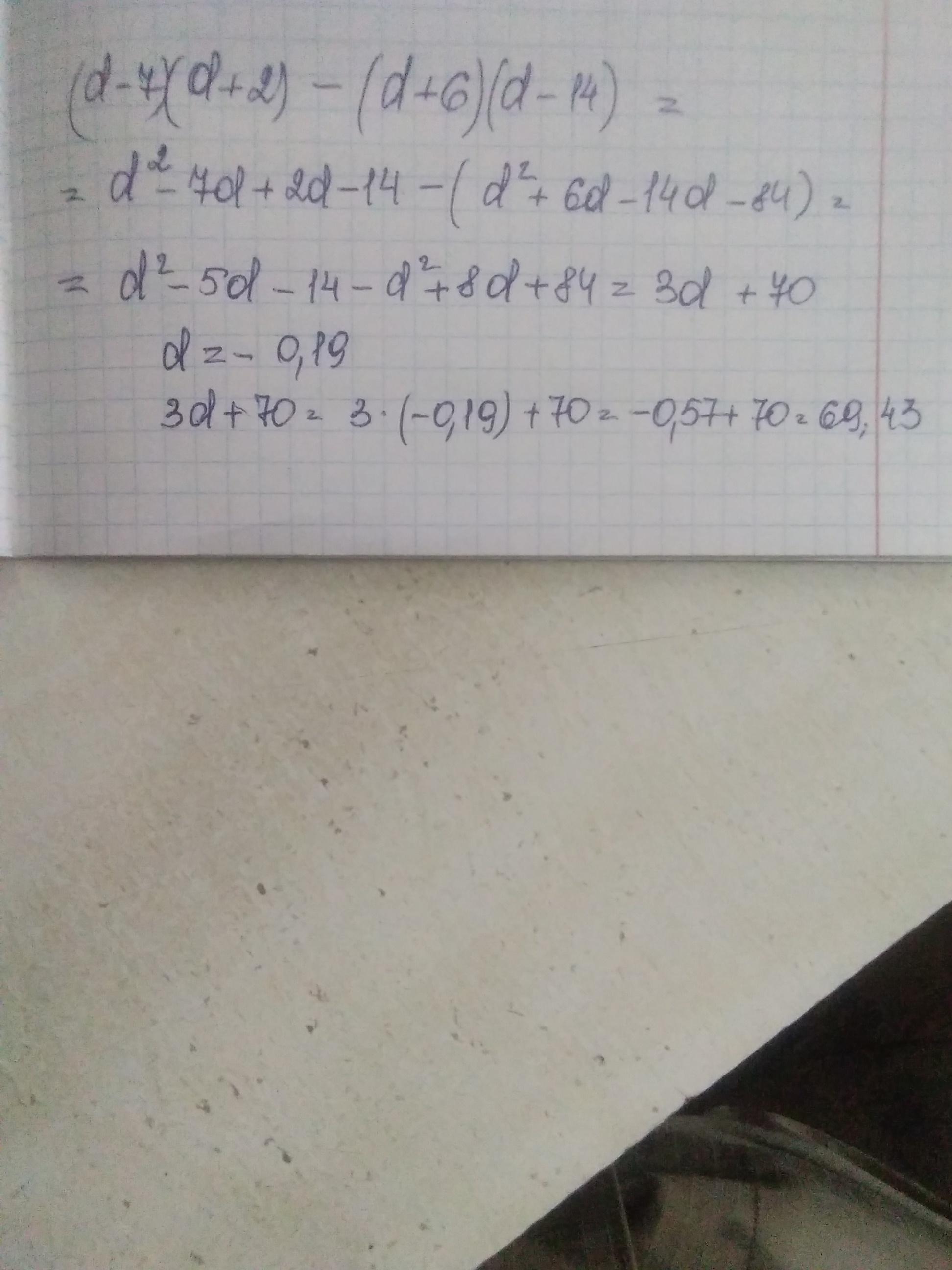
Смотри...................
Приложения:
snowpuma:
Спасибо!!!
Похожие вопросы
Предмет: Английский язык,
автор: lilylilyvikavika
Предмет: Русский язык,
автор: POLINKA201611
Предмет: Английский язык,
автор: Muz1chenko
Предмет: Русский язык,
автор: tosun3
Предмет: Английский язык,
автор: mordawka