Предмет: Физика,
автор: Kdlemememskls
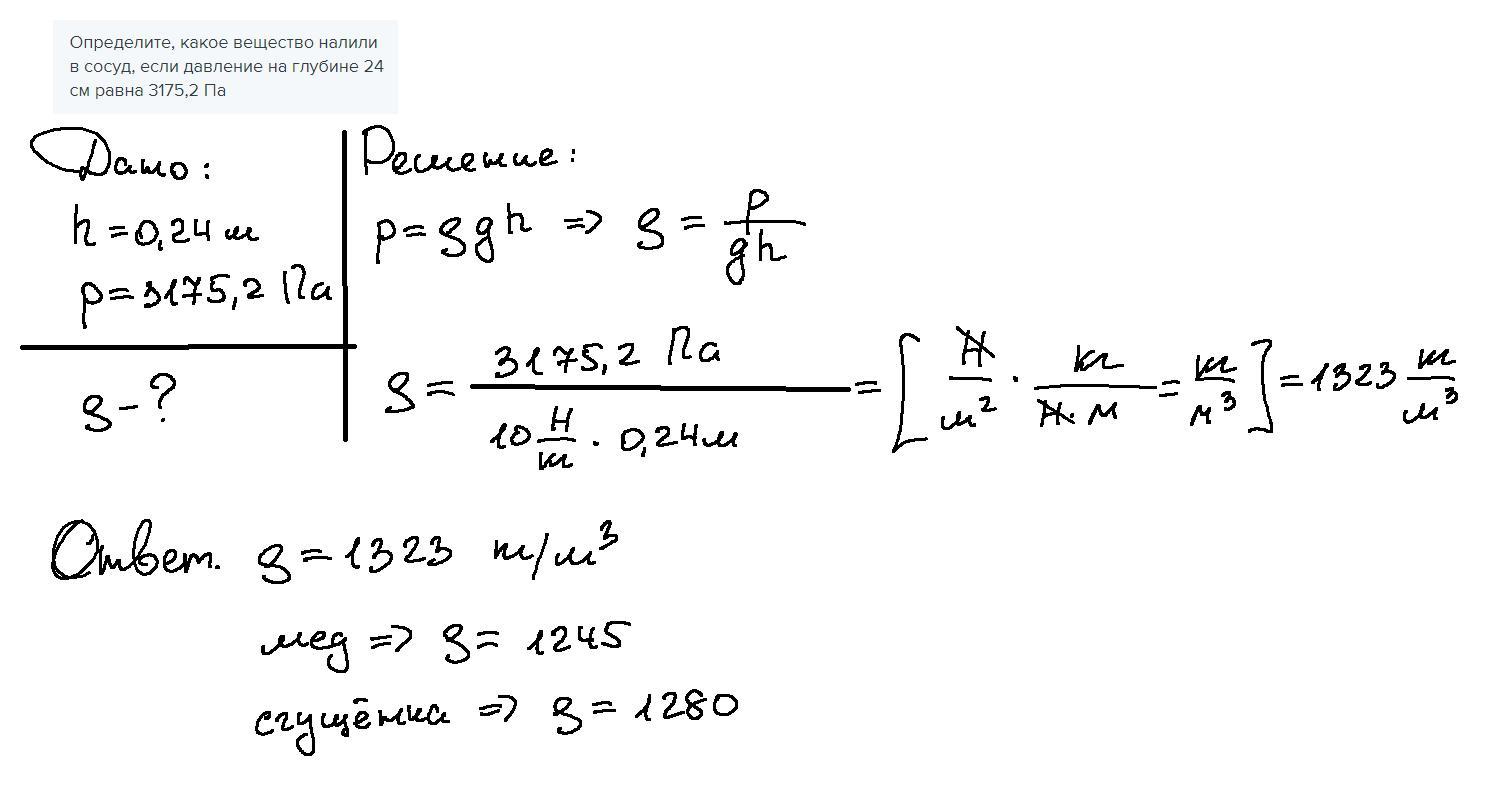
Определите, какое вещество налили в сосуд, если давление на глубине 24 см равна 3175,2 Па
Ответы
Автор ответа:
0
Ответ:
Плотность тела 1323 кг/м3
Объяснение:
Какое конкретно тело - нужно смотреть по таблицам
Приложения:
Похожие вопросы
Предмет: Русский язык,
автор: mila227
Предмет: Русский язык,
автор: Семён76Беляков
Предмет: Окружающий мир,
автор: лана102
Предмет: Математика,
автор: VipCheek