Предмет: Алгебра,
автор: finogeevaviktoria28
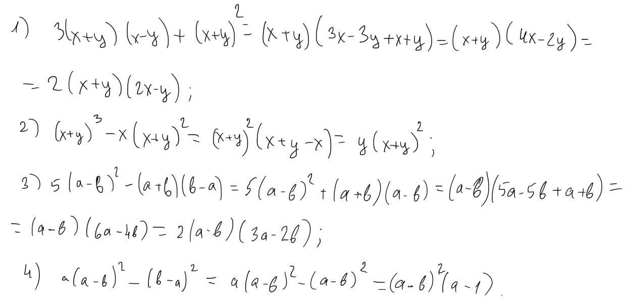
Разложить на множетели
1) 3(x+y)(x - y)+(x+y)²
2) (х+у)³-х(х+у)²
3) 5(а-b)²-(a+b)(b-a)
4) a(a-b)²-(b-a)²
Ответы
Автор ответа:
1
Ответ:
как-то так
Объяснение:
Приложения:
finogeevaviktoria28:
спасибо
а почему в 1ом примере 3х-3у. а не 3х+3у там же вроде +
х+у за скобки выносим, остаётся 3(х-у)
Похожие вопросы
Предмет: Русский язык,
автор: sokolova40
Предмет: Русский язык,
автор: зфхт
Предмет: Окружающий мир,
автор: lexaleks1
Предмет: Алгебра,
автор: alnmaa2017