Предмет: Алгебра,
автор: ykylele
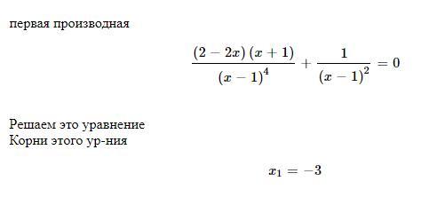
Для функции y=(x+1)/(x-1)^2 провести полное исследование и построить график
Ответы
Автор ответа:
1
ответ ниже, надеюсь, что помог.
Приложения:
Похожие вопросы
Предмет: Английский язык,
автор: Ancaria
Предмет: Английский язык,
автор: poldina80
Предмет: Русский язык,
автор: arcenii06
Предмет: Математика,
автор: Аноним
Предмет: Русский язык,
автор: danonmi77