Предмет: Алгебра,
автор: Аноним
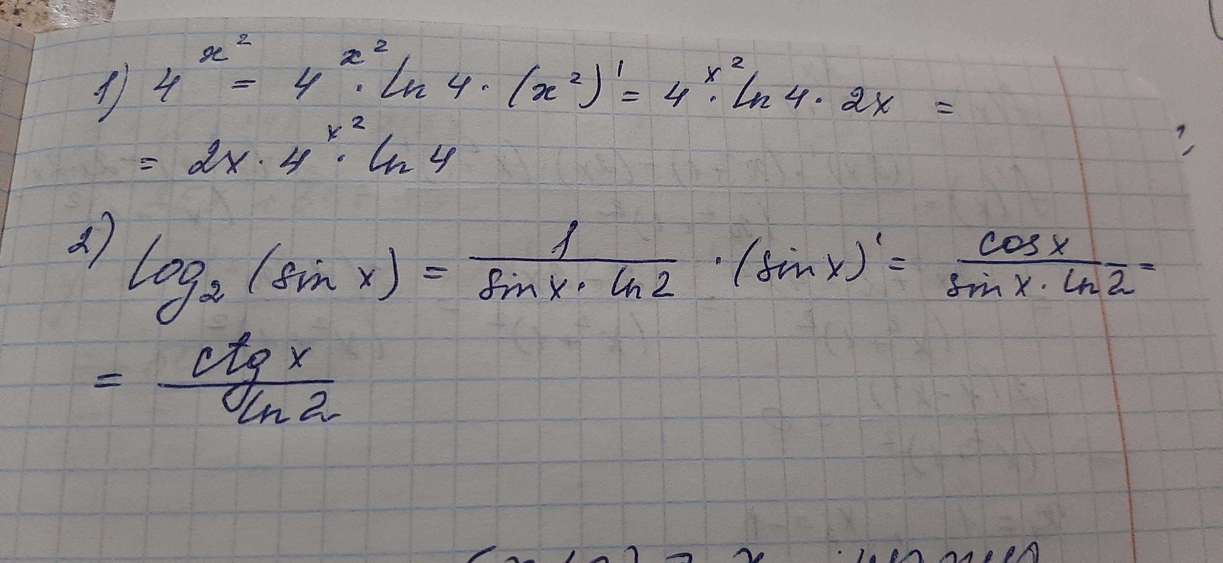
найти производную сложной функции
Приложения:
Ответы
Автор ответа:
1
Ответ:
Объяснение:
Смотри
Приложения:
Evreika77:
Там только первое могу решить, второе не получается что-то
Похожие вопросы
Предмет: Английский язык,
автор: poldina80
Предмет: Українська література,
автор: fzzhyk098
Предмет: Окружающий мир,
автор: 89228736698
Предмет: Биология,
автор: dashalima26
Предмет: Алгебра,
автор: vikacorsa