Предмет: Математика,
автор: Аноним
монжно побыстрее..................................
Приложения:
everlot:
как тебе ответ отправить?
Ответы
Автор ответа:
1
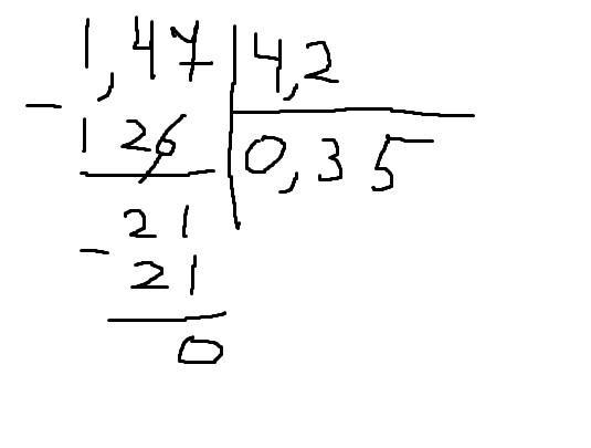
Ответ:
0,35
Пошаговое объяснение:
Приложения:
Похожие вопросы
Предмет: Українська література,
автор: 12735
Предмет: Українська мова,
автор: kolikova87
Предмет: Русский язык,
автор: сашакотик21
Предмет: Алгебра,
автор: super999j
Предмет: Английский язык,
автор: lizatonkikh