Предмет: Алгебра,
автор: frost9325
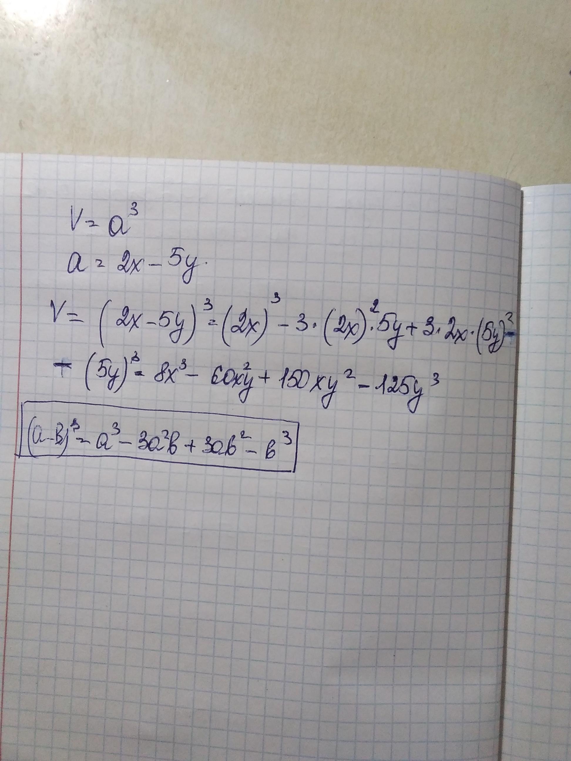
Напишите выражения для нахождения объема куба, используя формулу V=a'3'. Полученный результат представьте в виде многочлена.
а=2х-5у
Приложения:
Ответы
Автор ответа:
0
Смотри..................
Приложения:
Похожие вопросы
Предмет: Английский язык,
автор: shoeev9797
Предмет: Русский язык,
автор: сонечкакудаева
Предмет: Русский язык,
автор: Zhanaika09
Предмет: Русский язык,
автор: dana75vek
Предмет: Українська література,
автор: shpachenco82