Предмет: Математика,
автор: Tonkaras
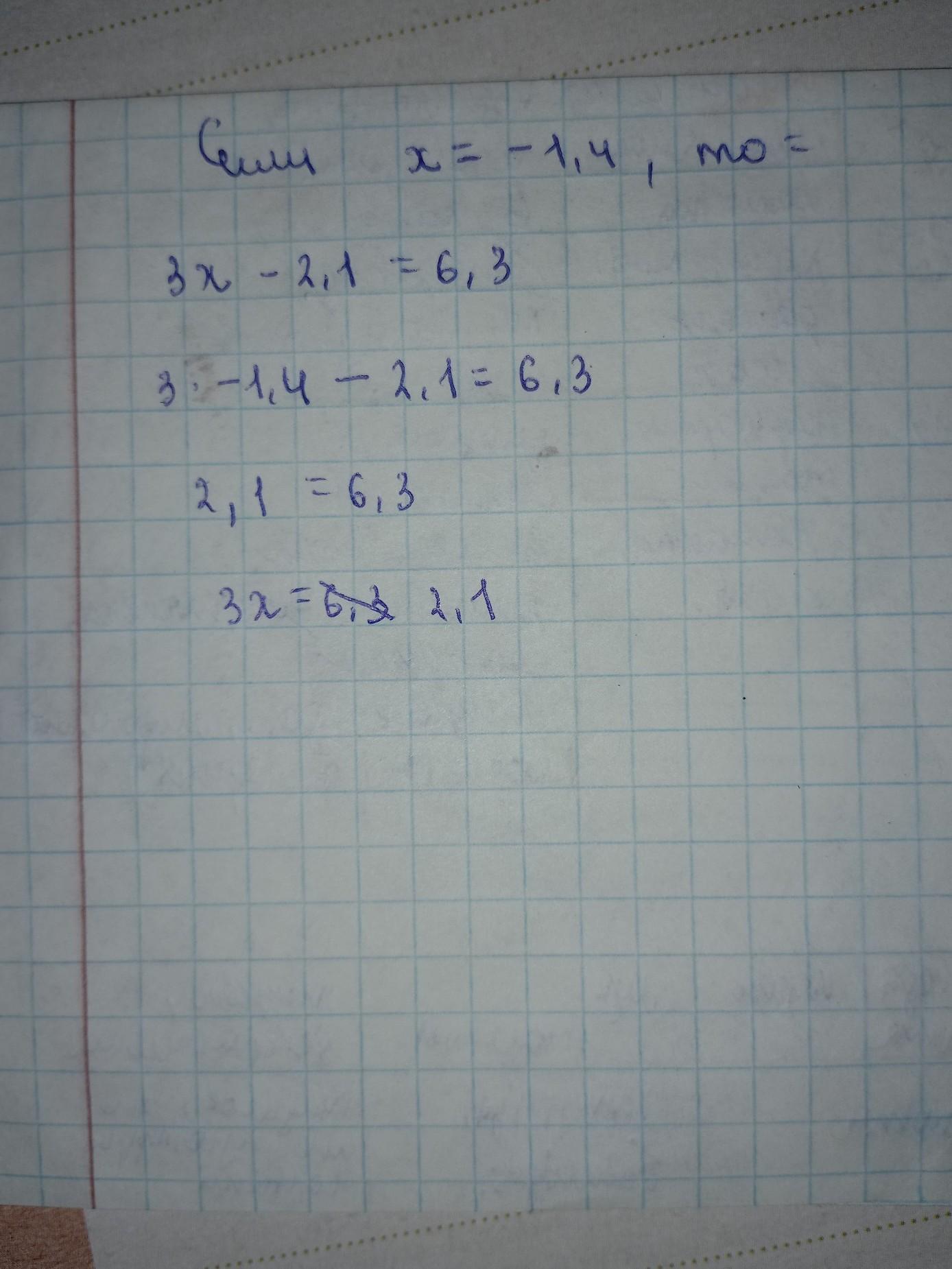
3х -2,1 =6,3 Если х = -1,4
Ответы
Автор ответа:
0
Ответ:
ответ: 2,1. все в фото))
Приложения:
Похожие вопросы
Предмет: Английский язык,
автор: maxrenner36
Предмет: Українська мова,
автор: lerka2404
Предмет: Английский язык,
автор: ивангай881
Предмет: Физика,
автор: blackrose1998
Предмет: Геометрия,
автор: lenashinkareva55