Предмет: Математика,
автор: ui1181974
Срочно!!!разложите на множители квадратный трехчлен .номер 6 на фото
Приложения:
ui1181974:
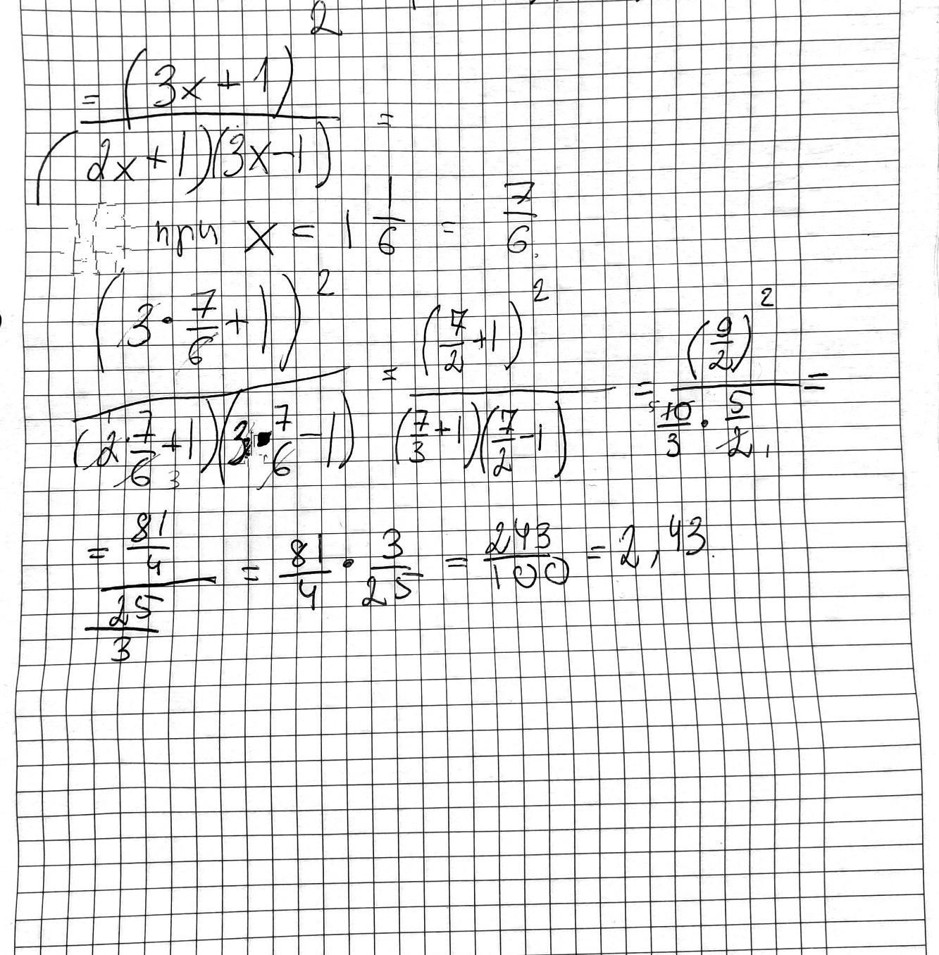
простите. нужно сократить дробь
Ответы
Автор ответа:
0
Пошаговое объяснение:
сначала, по отдельности решим эти трехчлены, как кв. уравнения :
9х²+6х+1=0
D= 36-36=0
x -6/18= -2/6=-1/3
6x²+x-1=0
D= 1+24=25
x=( -1±√25)/12
x=-0.5
x=4/12=1/3
теперь разложим эти трехчлены на множетели:
1)9(х+1/3)²
2)6(х+0.5)(х-1/3)
теперь запишем их вместе
(9(х+1/3)²)/6(х+0.5)(х-1/3)
Приложения:
спасибо Вам огромное!!!
ща, секунду, не парься)
Переделали?
посмотри вложение
Спасибо)))
Похожие вопросы
Предмет: Українська мова,
автор: 12345456765
Предмет: Русский язык,
автор: настя20034122003
Предмет: Українська мова,
автор: demydova1050
Предмет: Русский язык,
автор: ca769
Предмет: Немецкий язык,
автор: okyhb2005