Предмет: Алгебра,
автор: computerretupmoc0
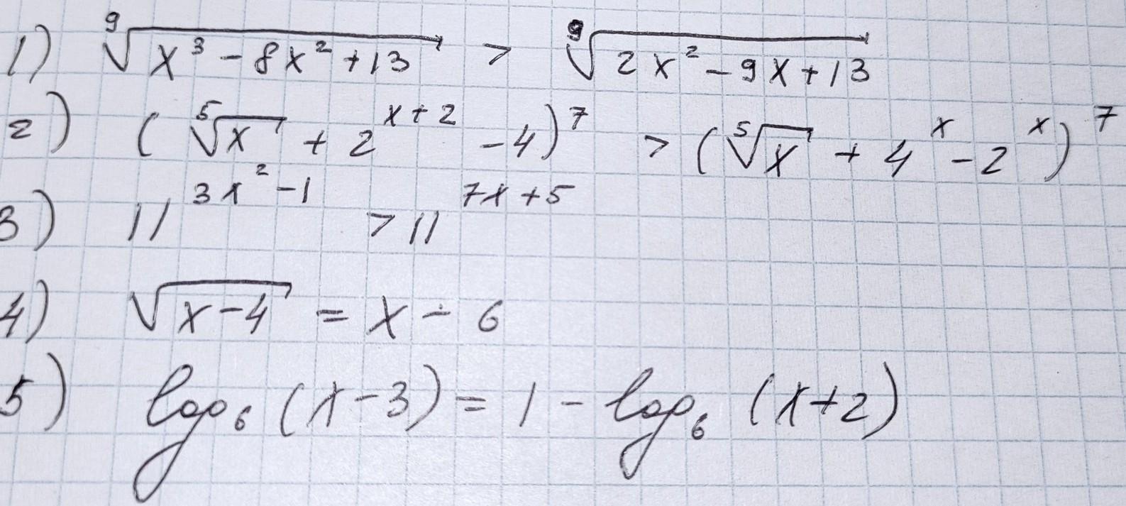
42 балла. Решите с решением, 11 класс
Приложения:
Ответы
Автор ответа:
1
Что типа такого должно быть.
Приложения:
Похожие вопросы
Предмет: Окружающий мир,
автор: ViktoriaKoteika751
Предмет: Английский язык,
автор: fsvsdvsdv
Предмет: Русский язык,
автор: 0СоняЛебедева0
Предмет: Русский язык,
автор: leckushsergij