Предмет: Алгебра,
автор: kamillamilaa
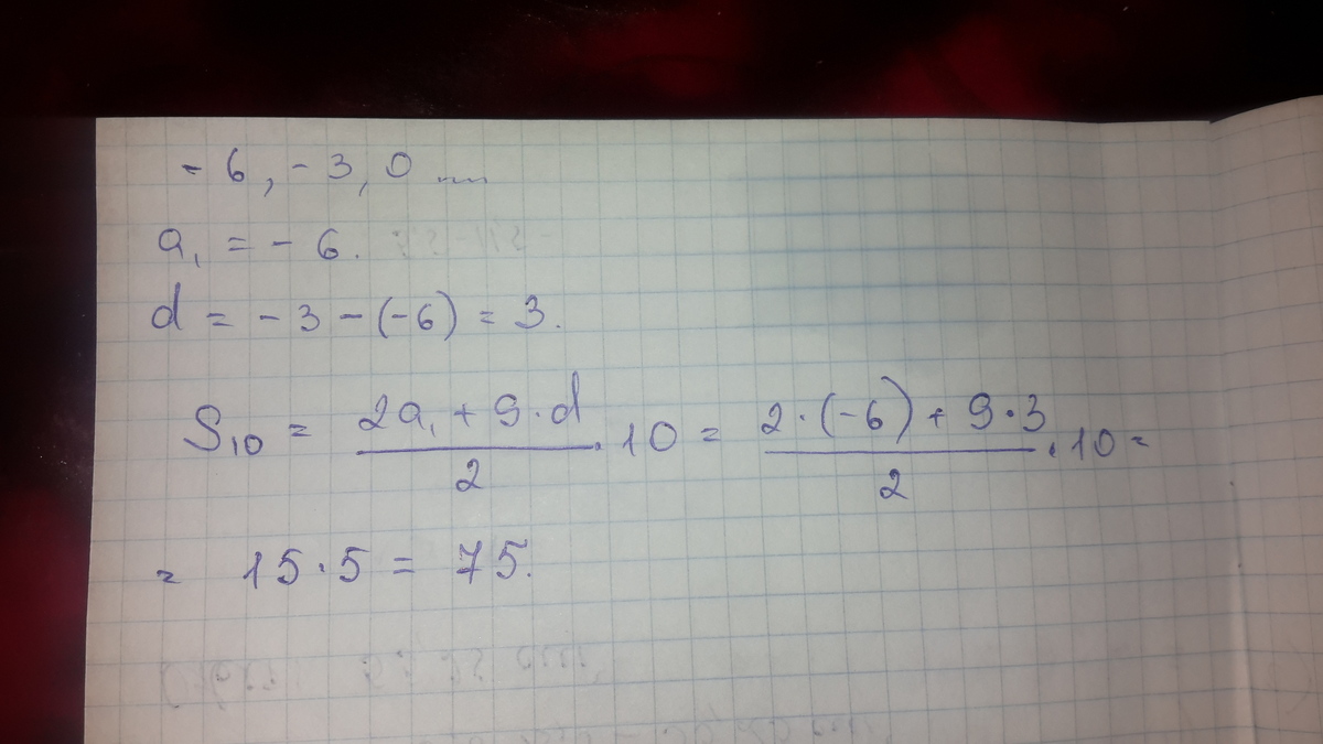
Дана арифметическая прогрессия (аn):-6,-3,0… Найдите сумму первых десяти её членов
Ответы
Автор ответа:
0
"""""""""""""""""""""""""""""""""""""
Приложения:
Похожие вопросы
Предмет: География,
автор: anzelakamalova9
Предмет: Алгебра,
автор: Аноним
Предмет: Английский язык,
автор: tuakbaevajdar049
Предмет: Математика,
автор: Mandarinko2707
Предмет: Математика,
автор: ЭлисФокс