Предмет: Оʻzbek tili,
автор: umidegamberganov397
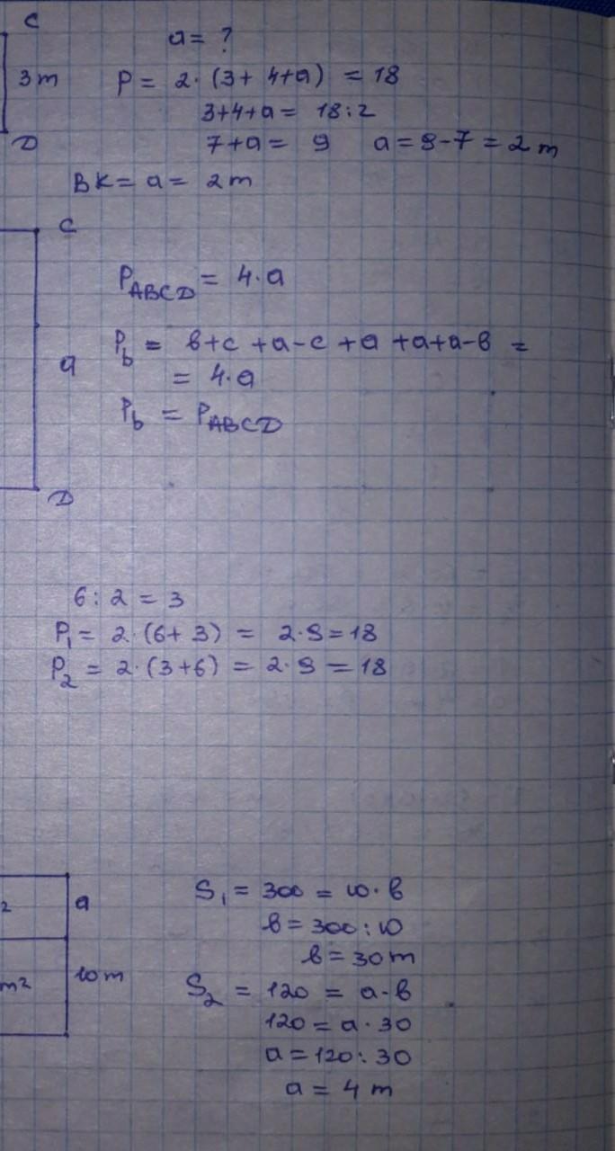
438 masala 5 sinf matematika
Ответы
Автор ответа:
5
Ответ:
Mana marhamat javobimni qabul qiling. Iltimos lutshiy atvet qõying!!
Приложения:
motstyle1997:
Gap yu zoʻr
Похожие вопросы
Предмет: Английский язык,
автор: stella12358
Предмет: Русский язык,
автор: Аноним
Предмет: Другие предметы,
автор: gusevaguseva1
Предмет: Математика,
автор: mortiirbe