Предмет: Алгебра,
автор: konikovicroksolana
1 завдання пжж дуже треба
Приложения:
parus77:
какое из них -первое?
Там де розклади на множники
Дякую
я вас не совсем понимаю, вы хотите 1?
Ответы
Автор ответа:
0
Ответ:
1) (3z -1)(3z +1)
2)ax(a-2)^2
3)y (x+y)^2
4) -a(3y +a)^2
Автор ответа:
0
Ответ:
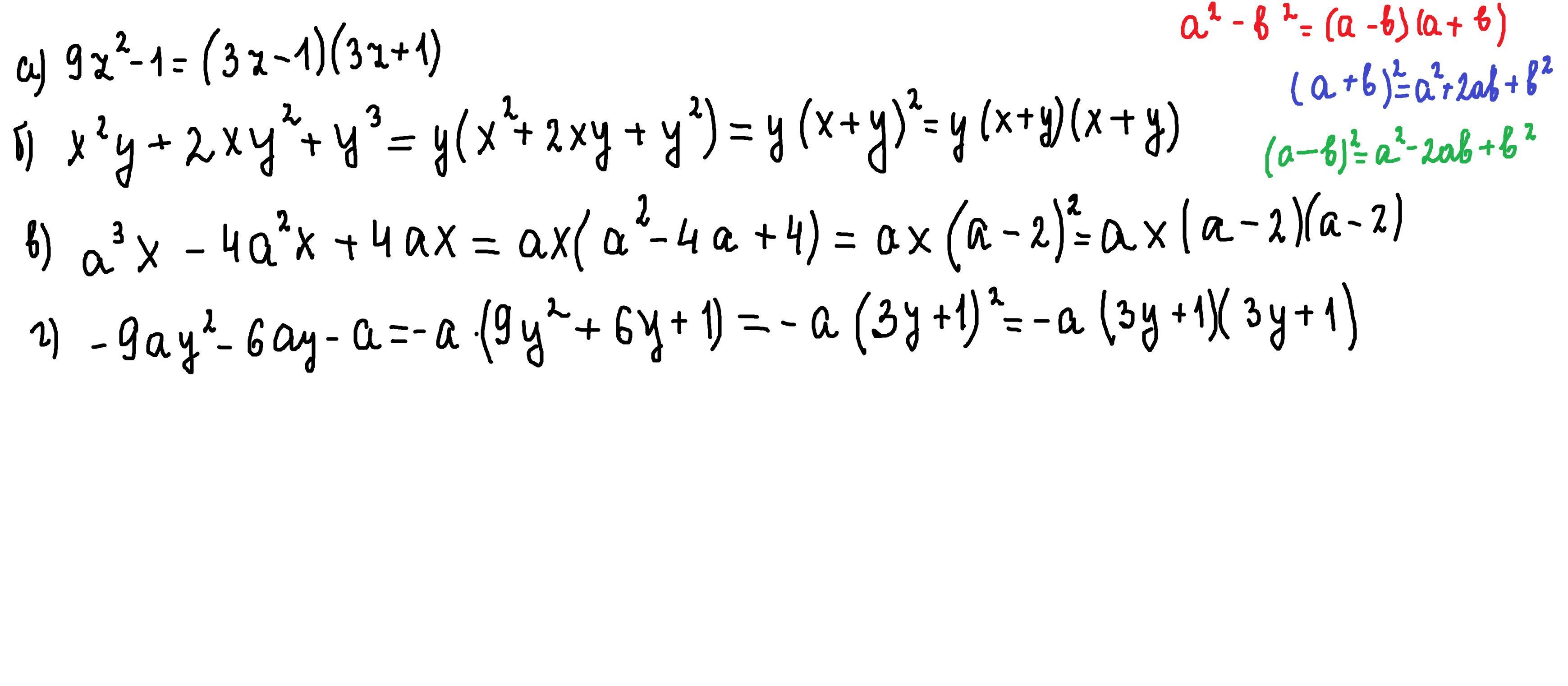
Объяснение:
решение и формулы внизу
Приложения:
Похожие вопросы
Предмет: Английский язык,
автор: Dariana1111fid
Предмет: Английский язык,
автор: mrnevostruev20
Предмет: Русский язык,
автор: ap442671
Предмет: Химия,
автор: avgustinapark3pesr67
Предмет: Французский язык,
автор: Аноним