Предмет: Алгебра,
автор: rugudin22
Помогите срочно!!!!!
Приложения:
asemaalimhan75:
мен білмейм
Ответы
Автор ответа:
1
Ответ :
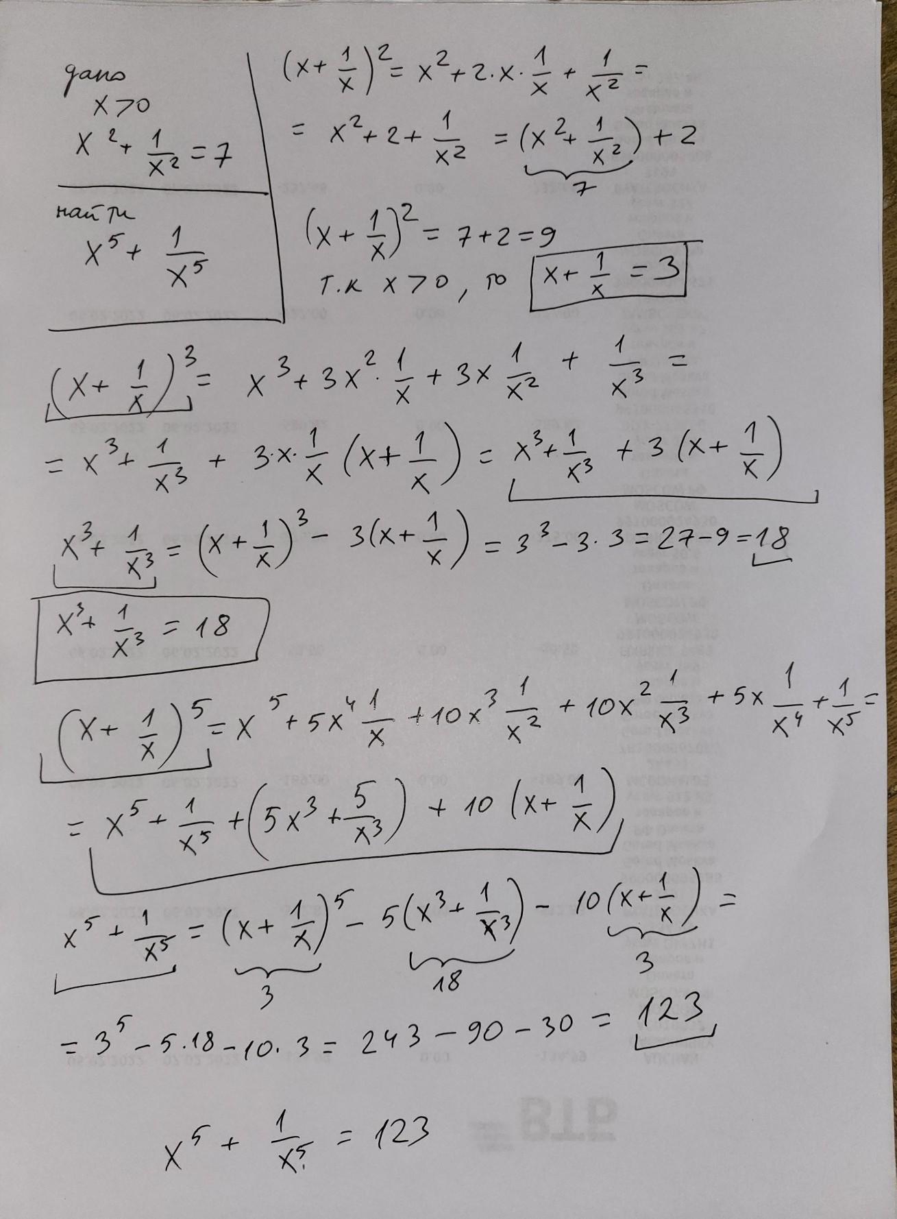
решение приведено на фото
Приложения:
Похожие вопросы
Предмет: Окружающий мир,
автор: джем9
Предмет: Русский язык,
автор: Tuck228
Предмет: Українська мова,
автор: mashapopova1972
Предмет: Русский язык,
автор: ksuha3132
Предмет: Математика,
автор: svetaprus1402