Предмет: Математика,
автор: ereminratmir2
вот фото решите пж а то я тупой
Приложения:
Elena3982:
Ответ 5
Ответы
Автор ответа:
1
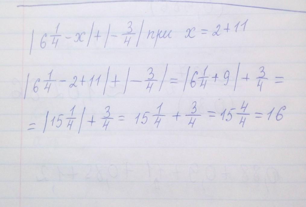
Ответ:
решение на фото
Пошаговое объяснение:
Приложения:
а стоп элена там же написано в конце 11
Ты сам эти 11 дописал?
да
от туда, откуда в условии карандашом дописано +11
так учитель сказал
Я исправила своё решение.
Спасибо
вы очень помогли
и не только вы
Там нет ничего сложного. Это лёгкая тема.
Автор ответа:
1
Пошаговое объяснение:
Вот тебе ответ........
Приложения:
Большое спасибо
Пожалуйста.
Убери с задания +11.
Похожие вопросы
Предмет: Русский язык,
автор: lubaru1
Предмет: Қазақ тiлi,
автор: elyamiller03Elya
Предмет: Английский язык,
автор: AlD983473
Предмет: Математика,
автор: CreeperBROO
Предмет: Информатика,
автор: nuriknutikmurik