Предмет: Алгебра,
автор: evgenua7905
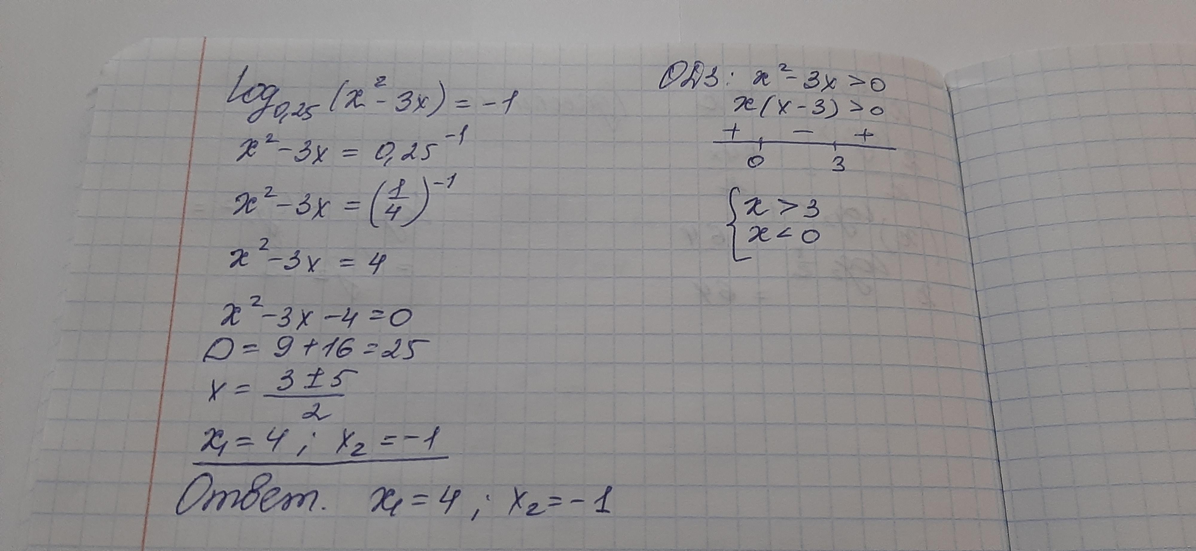
Допоможіть будь ласка розв'язати з перевіркою Iog0,25(x*-3x)=-1
Vivernar:
это log0.25(x^2-3x)=-1?
Ответы
Автор ответа:
2
Ответ: х=4; х= -1
Объяснение:
Приложения:
Похожие вопросы
Предмет: Английский язык,
автор: машуля80
Предмет: Русский язык,
автор: naida09
Предмет: Окружающий мир,
автор: габыч
Предмет: Алгебра,
автор: kageev2017
Предмет: Музыка,
автор: vlad33221189