Предмет: Химия,
автор: gorbdimon9
Помогите срочно даю 40 баллов 9 и 10 задания
Приложения:
gorbdimon9:
Можно просто ответ
Ответы
Автор ответа:
0
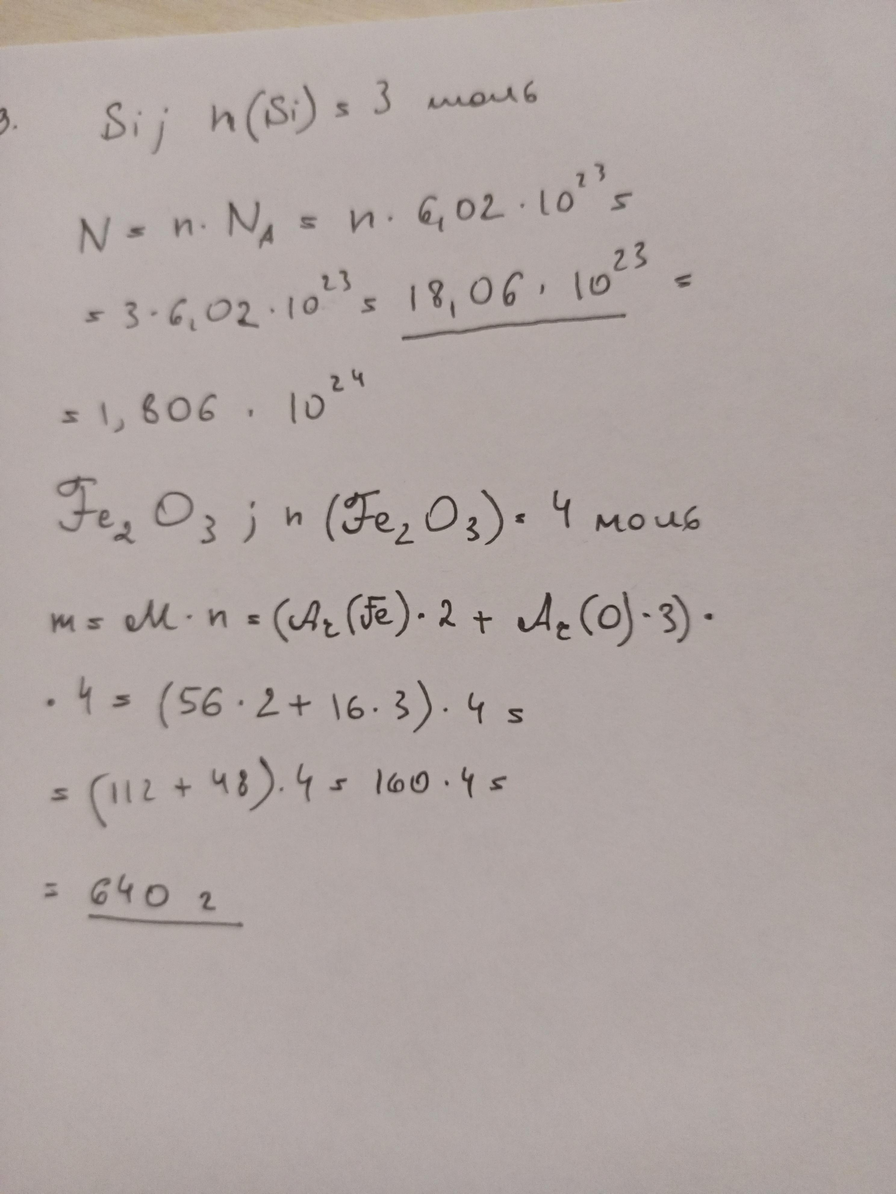
Ответ:
ответы подчеркнуты
Объяснение:
Приложения:
сори за качество, криво получилось
Норм
Похожие вопросы
Предмет: Қазақ тiлi,
автор: жанар28
Предмет: Русский язык,
автор: Аноним
Предмет: Русский язык,
автор: малина72
Предмет: Алгебра,
автор: durekhele
Предмет: Русский язык,
автор: mika4219