Предмет: Математика,
автор: veronaprs
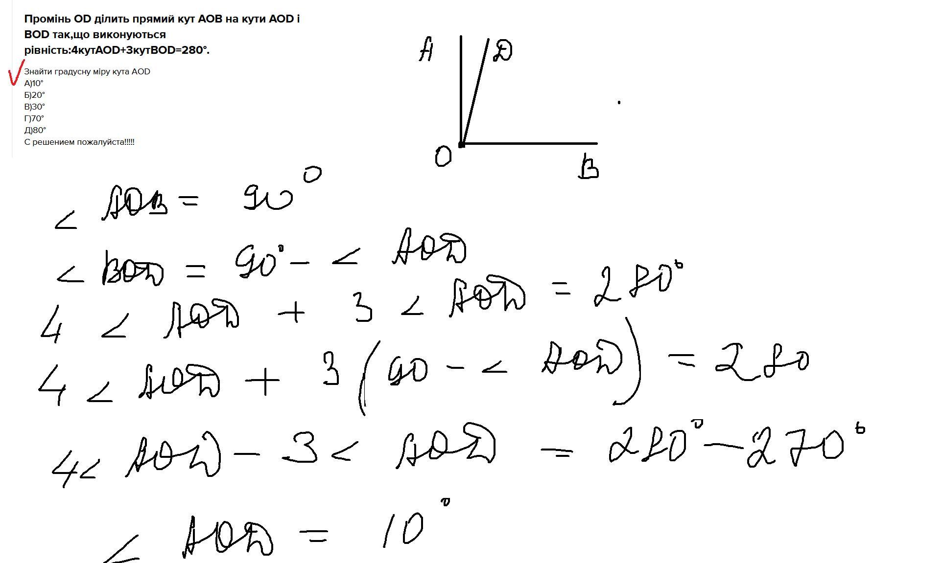
Промінь OD ділить прямий кут АОВ на кути АОD і BOD так,що виконуються рівність:4кутАОD+3кутBOD=280°.
Знайти градусну міру кута АОD
А)10°
Б)20°
В)30°
Г)70°
Д)80°
С решением пожалуйста!!!!!
Ответы
Автор ответа:
0
Ответ:
Пошаговое объяснение:С решением
Приложения:
Похожие вопросы
Предмет: Окружающий мир,
автор: Аноним
Предмет: Другие предметы,
автор: Дании1234
Предмет: Русский язык,
автор: Anastasia012007
Предмет: Химия,
автор: krolstra
Предмет: Українська мова,
автор: kostyukroman1977