Предмет: Математика,
автор: kirill07041986mirill
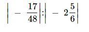
хэлппппппппппппппппппппппппппппппппп 6 класс
Приложения:
kirill07041986mirill:
акк просто создавал быстро
Понятненько
Ответы
Автор ответа:
1
Смотрите прикрепленный файл.
Приложения:
шпасибо
Автор ответа:
0
Пошаговое объяснение:
ответ вот!!!!!!!!!!!!!!
Приложения:
Похожие вопросы
Предмет: Окружающий мир,
автор: Alihan22287654
Предмет: Другие предметы,
автор: farhievanazlig
Предмет: Қазақ тiлi,
автор: jakupovajanar
Предмет: История,
автор: milaaa20
Предмет: История,
автор: JAJACIMA