Предмет: Математика,
автор: vitalik357007
очень нужна помощь.
Приложения:
vitalik357007:
3 можно не делать
Ответы
Автор ответа:
0
Ответ:
Пошаговое объяснение:
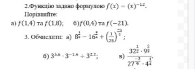
2) f(1,4)=f(7/5)=(5/7) в12
f (1,8)=f(9/5)=(5/9)в 12
5/7 в12 больше 5/9 в12
f(0,4)=f(2/5)=5/2 в 12 =2,5 в12
f (-21)=(- 1/21) в 12
2,5в12 больше ( - 1/21)в 12
Похожие вопросы
Предмет: Окружающий мир,
автор: AntonRussia2016
Предмет: Окружающий мир,
автор: крутой211
Предмет: Русский язык,
автор: Аноним
Предмет: Русский язык,
автор: geraroblox05
Предмет: Қазақ тiлi,
автор: my899167