Предмет: Алгебра,
автор: Аноним
пожалуйста очень срочно :(((
Приложения:
txdrf7db44:
А что сделать надо? Привести многочлен к стандартному виду?
да
буду очень благодарен если поможете
можетк помочь?
Сек, напишу
Ответы
Автор ответа:
1
Ответ:
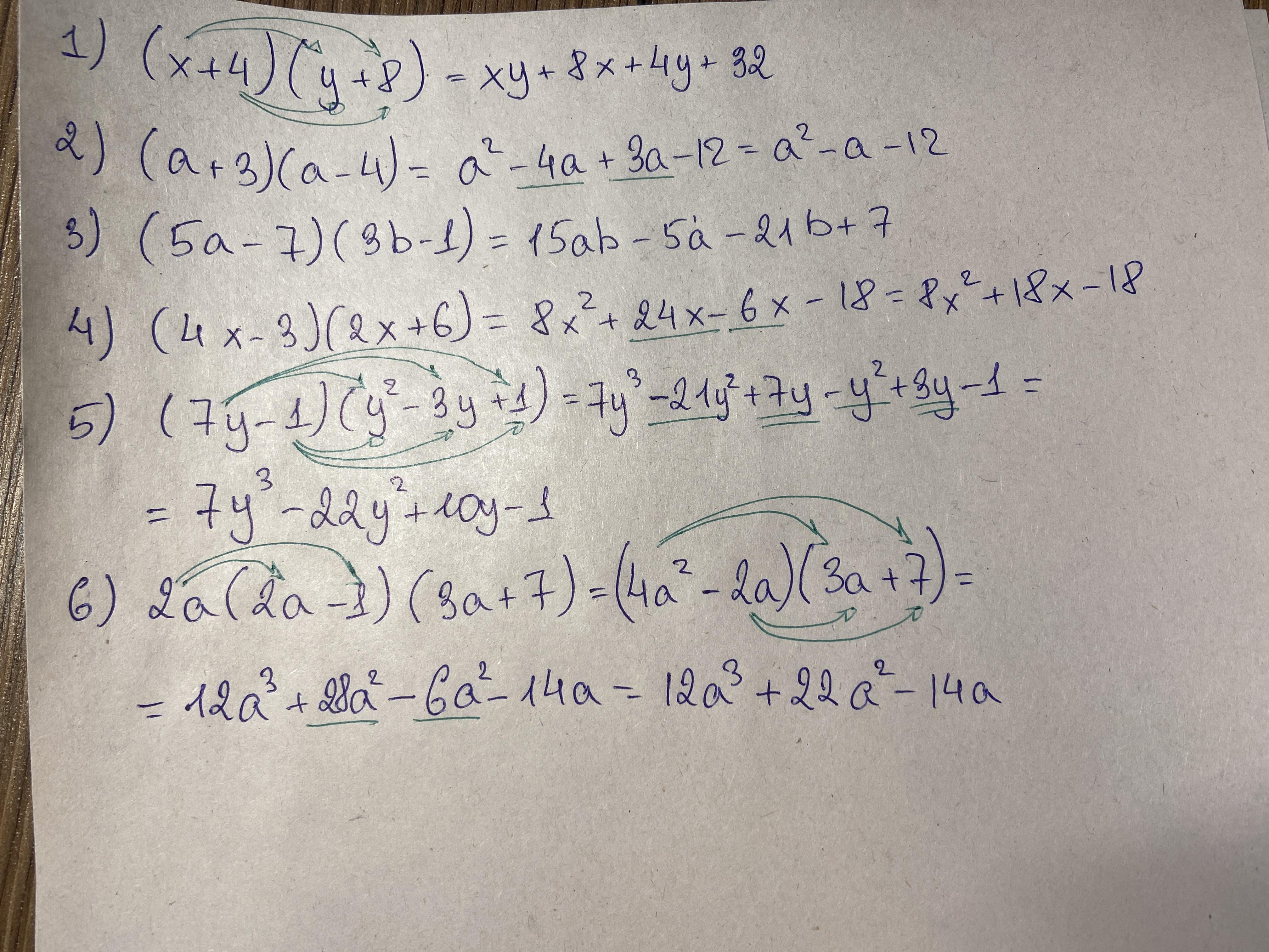
на фото
Объяснение:
Приложения:
Похожие вопросы
Предмет: Английский язык,
автор: Кирилл1234567890ffcv
Предмет: Русский язык,
автор: markyxa2004
Предмет: Русский язык,
автор: Ульяна7292
Предмет: Физика,
автор: olia2534
Предмет: Математика,
автор: tlupova032