Предмет: Алгебра,
автор: vladkrasnaa
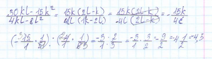
Помогите срочно. Учи ру 7 класс. Рациональные дроби и их свойства
Приложения:
Ответы
Автор ответа:
0
Ответ:
вроде -4,4......но это не точно
Автор ответа:
1
Объяснение: Нужно вынести общий множитель за скобки и затем сократить. После подставить значения "k" и "l" и найти ответ.
Приложения:
Похожие вопросы
Предмет: Українська мова,
автор: Аноним
Предмет: Русский язык,
автор: отличникус
Предмет: Русский язык,
автор: Svetikpal125
Предмет: Английский язык,
автор: Аноним