Предмет: Алгебра, автор: nurbolnarynbekov2

решите уравнение 36(2-y)-6*(5-2y)=0​


nurbolnarynbekov2: я шя на алг тест пишу

Ответы

Автор ответа: fiftyfifty3006
0

Ответ:

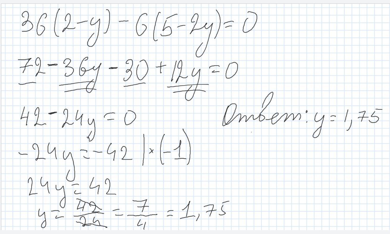
36(2 - y) - 6 \times (5 - 2y) = 0 \\ 72 - 36y - 30 + 12y = 0 \\  - 24y + 42 = 0 \\  - 24y =  - 42 \\ y =  \frac{42}{24} \\ y =  \frac{7}{4}

Автор ответа: mashayusup0va
0

Ответ:

Объяснение:

Ну вроде как-то так...

Приложения:
Похожие вопросы
Предмет: Английский язык, автор: 15732
Предмет: Физика, автор: postal2114