Предмет: Алгебра,
автор: polivca228
вариант 1
все 3 задания помогите
Приложения:
Ответы
Автор ответа:
0
Ответ:
Объяснение:
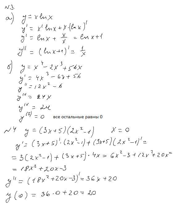
на листике
Приложения:
Похожие вопросы
Предмет: Другие предметы,
автор: Аноним
Предмет: Английский язык,
автор: Rousal
Предмет: Русский язык,
автор: Lizapeylova
Предмет: Математика,
автор: zahar1904