Предмет: Алгебра,
автор: sukurzanovanazira189
Пожалуйста помогите срочно нужен ответ
Приложения:
Ответы
Автор ответа:
1
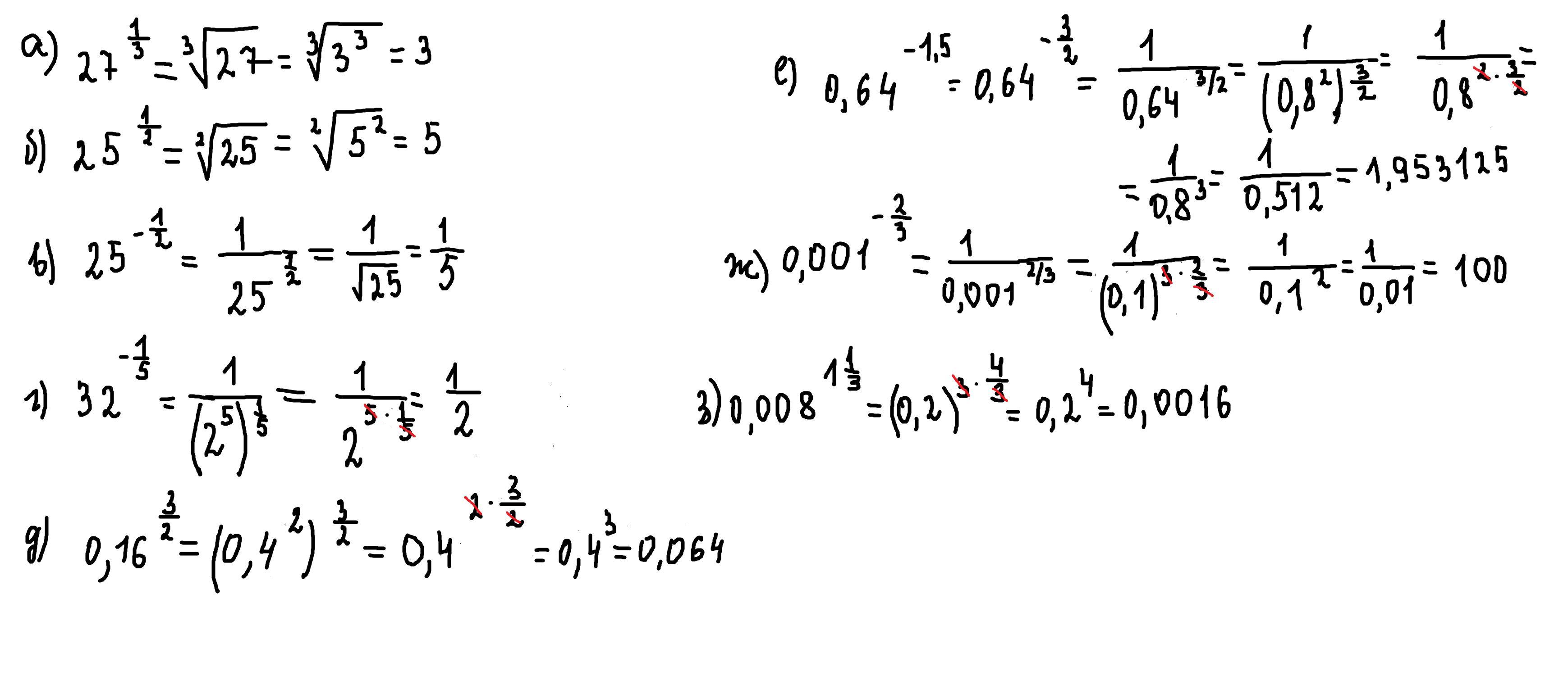
Ответ:
Объяснение:
решение внизу,где не понятно -спрашивайте
Приложения:
Похожие вопросы
Предмет: Українська мова,
автор: tinllesion
Предмет: Қазақ тiлi,
автор: амина399
Предмет: Русский язык,
автор: Аноним
Предмет: Физика,
автор: eeee583
Предмет: Английский язык,
автор: dgh7