Предмет: Геометрия,
автор: tekahiya
ДАЮ 35 БАЛЛОВ! СРОЧНО! НУЖНО РЕШИТЬ ЭТУ ЗАДАЧУ С ФОТО!
Приложения:
Ответы
Автор ответа:
2
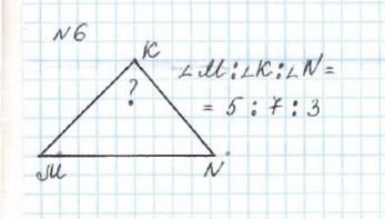
Сумма углов треугольника = 180 градусов.
Нам даны отношения градусных мер этих углов. То есть значения углов поделили на некоторое одинаковое число х и получили отношение 5:7:3. Если что-то поделили, то, чтобы это вернуть, мы умножаем каждое из чисел на х. Сумма всех градусных мер = 180.
5х+7х+3х=180
15х=180
х=12
Значит, значение каждого из угла поделили на 12. Можем восстановить любой угол, умножив то, что от него осталось, на 12. Нам нужен угол К. Ему соответствует 7. Значит, 12*7=84 градуса.
tekahiya:
я сама в ней не шарю
Похожие вопросы
Предмет: Русский язык,
автор: fhggvgv
Предмет: Окружающий мир,
автор: 1234Анжелика1234
Предмет: Русский язык,
автор: Аноним
Предмет: Русский язык,
автор: olya6463
Предмет: Геометрия,
автор: 8399134