Предмет: Математика,
автор: mbareeva
Помогите пожалуйста! Заранее спасибо
Приложения:
Ответы
Автор ответа:
1
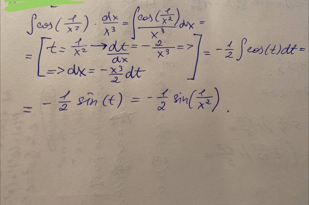
смотрите фото...........
Приложения:
mbareeva:
Спасибо большое! Выручили
:)
Похожие вопросы
Предмет: Русский язык,
автор: evasheveleva1985
Предмет: Қазақ тiлi,
автор: olzhasmukazhanGGG
Предмет: Русский язык,
автор: Izюм
Предмет: Другие предметы,
автор: angelina2892
Предмет: Математика,
автор: Аноним