Предмет: Алгебра,
автор: dashulka58
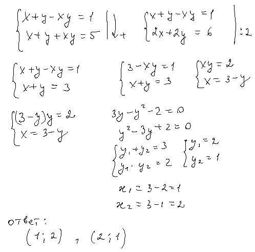
розв'яжіть систему рівнянь
Приложения:
Ответы
Автор ответа:
1
Ответ:
Объяснение:
на листку
Приложения:
Похожие вопросы
Предмет: Английский язык,
автор: Аноним
Предмет: Русский язык,
автор: sofia1239
Предмет: Английский язык,
автор: AlinaBrain
Предмет: Математика,
автор: akaskov676848
Предмет: История,
автор: taraz88