Предмет: Математика, автор: fetisovae53

решите уравнение

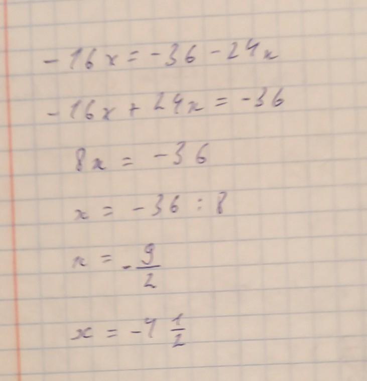
-16x=-36-24x ​

Ответы

Автор ответа: nasturcia1401
1

Ответ:

-16x+24x=-36

8x=-36

x=-4,5

Автор ответа: aleksan64
1

Пошаговое объяснение:

#################################

Приложения:
Похожие вопросы
Предмет: Русский язык, автор: anandi98
Предмет: История, автор: ArDemon

Вариант 1 Тест по теме «Монголо-татарское иго»

1. Основное занятие монголов:
а) пашенное земледелие
б) морская торговля
в) кочевое скотоводство
г) ремесло


2. Знаковая битва между русско-половецкими войсками и монголами состоялась на реке:
а) Липице б) Шелони в) Каяле г) Калке
3. Первый из русских городов, павший под ударом войск Батыя:
а) Москва б) Коломна в) Рязань г) Новгород



4. Данническая зависимость Руси от Орды выражалась в:

а) направление подданных в Орду

б) выдаче ярлыков на право княжения в русских землях

в) выплате дани

г) поставкой русских воинов в монгольские войска
5. Причинами поражения Руси в борьбе с монголо-татарскими захватчиками нельзя назвать:
а) численное превосходство монголо-татар
б) феодальную раздробленность русских земель
в) несогласованность в действиях русских князей
г) немецко-шведскую агрессию в северные пределы страны


6. Выберите правильное утверждение:
а) в результате монголо-татарского нашествия Русь была включена в состав Золотой Орды

б) в результате монголо-татарского нашествия Русь попала в зависимость от Золотой Орды, выражавшуюся в основном в уплате ордынским ханам дани
в) в результате монголо-татарского нашествия Русь отстояла свою независимость
г) в результате монголо-татарского нашествия коренным образом изменился характер социально-экономического развития русских земель
7. Иго – это:
а) господство ордынцев над русскими землями
б) грамота на право сбора дани с земель
в) название государства, основанного Батыем
г) размер налога, уплачиваемого Русью
8. Грамота, разрешавшая князьям править и собирать налоги в своей земле, дававшаяся ордынскими ханами:
а) иго б) выход в) ярлык г) басма



9. Из логического ряда выпадает имя …

1) Мстислава Великого; 2) Юрия Долгорукого;

3) Андрея Боголюбского; 4) Всеволода Большое Гнездо

10. Основатель Монгольского государства ____

11. Укажите, какие даты относятся к:

1 - Периоду борьбы русских княжеств против агрессии немецких и шведских рыцарей.

2 - Периоду монголо-татарского завоевания.

а) 7 февраля 1238 г. б) 31 мая 1223 г. в) 5 апреля 1242 г. г) 1206 г.

д) 4 марта 1238 г. е) 1237-1241 гг. ж) 1202 г. з) 1240 г.

12. Дайте определение понятиям

Баскак, улус, тысяцкий, посадник «ордынский выход»





13. Когда произошли события, описанные в отрывке из летописи?

“Пришел на Русскую землю безбожный царь Батый со множеством воинов татарских и стал на реке на Воронеже близ земли Рязанской. И прислал послов непутевых на Рязань к великому князю Юрию Игоревичу Рязанскому, требуя у него десятой доли во всем: во князьях, и во всяких людях, и в остальном. И услышал великий князь Юрий Игоревич Рязанский о нашествии безбожного царя Батыя, и тотчас послал в город Владимир к благоверному великому князю Юрию Всеволодовичу Владимирскому, прося у него помощи против безбожного царя Батыя или чтобы сам на него пошел.”

1) в 1223 г. 2) в 1237 г. 3) в 1240 г. 4) в 1242 г.



14. В каком году взят Киев:

а) 1239; б) 1237; в) 1238; г) 1240.



15. Пороками в монгольском войске называли:

а) стенобитные приспособления, б) камнеметные машины;

в) походные кибитки; г) супружескую неверность.

16. Первые ханы Золотой Орды по своим религиозным воззрениям были

а) буддистами; б) исламистами; в) язычниками; г) атеистами.



17. В основу монгольского образования была положена

а) китайская письменность; б) уйгурская письменность; в) славянская письменность;

г) греческий алфавит.

18. Ордынское иго было бы свергнуто в

а) 1380г. б) 1480г. в) 1487г. г) 1503г.



19. Установите соответствие между датой и событием

Дата Событие

А) 1223г.

Б) 1480г.

В) 8 сентября 1380г.

Г) 4 марта 1238г.

Д) осень 1240г.

1) сражение на реке Сити

2) взятие Батыем Киева

3) сражение на р.Калке

4) «Стояние на Угре»

5) Куликовская битва

21. Назовите причины побед ордынской армии

1) феодальная раздробленность Руси

2) отсутствие сопротивления со стороны населения

3) численное превосходство армии

4) жесткая дисциплина

5) сильная личная власть русских князей

6) высокие боевые качества степных воинов и их коней

7) согласованность в действиях русских князей



22. Расположите в хронологической последовательности

А) взятие Батыем Рязани Б) Куликовская битва

В) битва на р.Сити Г) сражение на р.Калке Д) «Стояние на Угре»

23. Назовите последствия ордынского нашествия для Руси

1) распри между русскими князьями

2) значительное уменьшение численности населения

3) ослабление русской православной церкви

4) раскрепощение крестьян

5) разорение земель

6) подрыв хозяйства и культуры

7) расцвет культуры

8) ослабление личной власти великого князя

9) разорение городов

10) угон населения в рабство



25. Не был разорен монголо-татарами город:

а) Торжок; б) Коломна; в) Псков; г) Чернигов