Предмет: Физика,
автор: myronchukeaeae
СРОЧНО 50 БАЛОВ
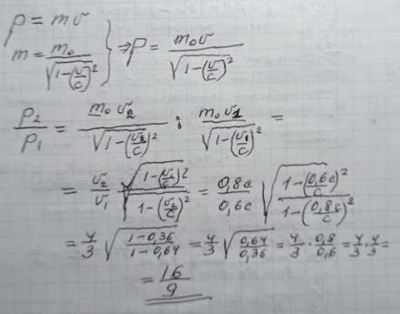
Швидкість частинки збільшилася від 0,6с до 0,8с ( с- швидкість світла у вакуумі). Визначте, у скільки разів збільшився імпульс частинки.
Ответы
Автор ответа:
1
Ответ: У 16/9 рази
Объяснение: Див. додаток
Приложения:
Похожие вопросы
Предмет: Русский язык,
автор: tatyanabp
Предмет: Русский язык,
автор: sksfwf
Предмет: Английский язык,
автор: AngelinaMoore
Предмет: Алгебра,
автор: Braaly
Предмет: Математика,
автор: Danila5087