Предмет: Алгебра,
автор: mashazam
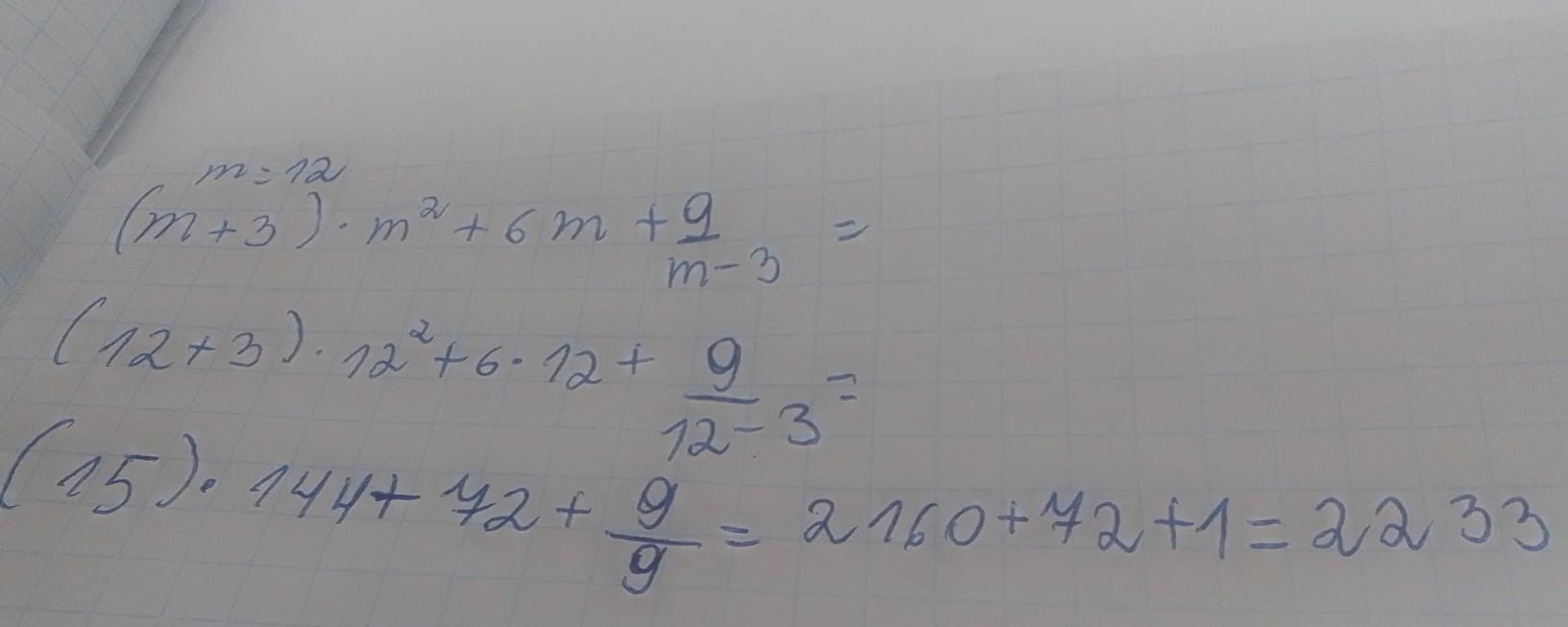
найди значение выражения
(m+3)*m²+6m+9/m-3
при m=12
Ответы
Автор ответа:
0
Объяснение:
m=12
(12+3)×144+72+1=2160+72+1=2233
Приложения:
Похожие вопросы
Предмет: Русский язык,
автор: DimaK3P
Предмет: Английский язык,
автор: AnyaLay2
Предмет: Русский язык,
автор: Supercooke
Предмет: Алгебра,
автор: micticnk31
Предмет: Математика,
автор: nadyanigay