Предмет: Алгебра, автор: andrrreicat

Помогите решить:
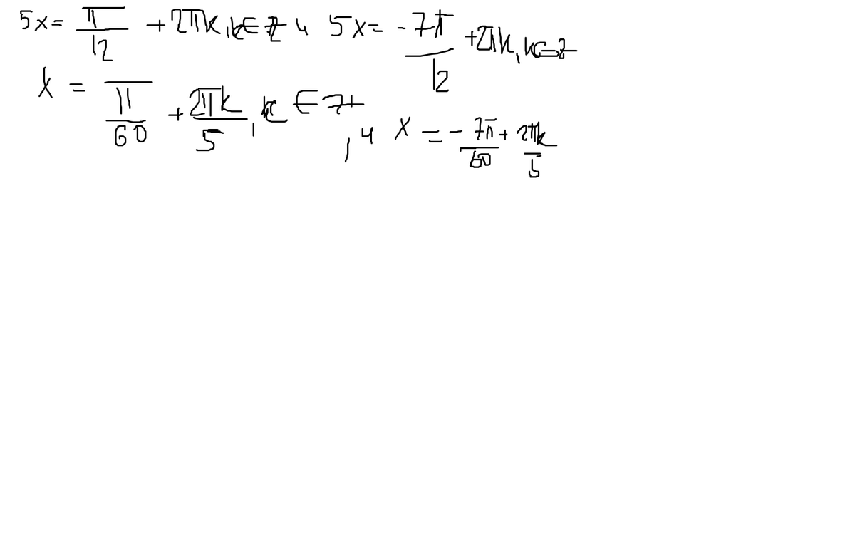
a) sin 3x =1
б) 2cos ( 5x - pi/4) = 1

Ответы

Автор ответа: 15032
0
Вот,это как бы так решается 
Приложения:
Автор ответа: andrrreicat
0
пример а не правильный)
там частный случай, а б правильный, спасибо)
Автор ответа: 15032
0
А точно,блин совсем забыла с этой тригонометрией!)
Похожие вопросы
Предмет: Қазақ тiлi, автор: Аноним
лқар ке)
маңызы
аңызы
«Танымал» сөзінің синонимін тап.
у
ң
Шалқар көлінің маңызы
Шалқар көлі айналасына X ғасырдың өзінде елді мекендер мен қалалар орналасқан. Әртүрлі
кезеңдерде көпестер, миссионерлер қонақ болған. Бүгінде Шалқар көлі Батыс Қазақстан
облысы мен көршілес мемлекеттерге шипалы көл ретінде танымал. Көл түбінде түрлі
жарақаттар мен ауруларға ем болатын тұзды сор, балшық бар.
Көлдің ауданы 205,8 км2, ұзындығы 18,4 км алып жатыр. Көлдің ең енді жері 14,7 км-ге созылған.
Солтүстік, оңтүстік-батысж бөліктерінде жағалаулары жатық болса, қалған жерлерінде жағалау
жарқабақты болып келеді. Жарқабақтардың биіктігі 3-10 метрге дейін жетеді.
Шалқар көліне Шолақаңқаты, Есенаққаты өзендері құяды. Солянка өзенінің су деңгейі 15,5 м
көтеріліп тасыған кезде осы Шалқар көліне құяды. Шалқар көлі минералдарға аса бай және
теңіз суларымен құрамы бірдей болып келеді. Оның құрамында тұзды қышқыл, кальций
гидрокарбонат, магний бар.
Көлді аққу, қаз, үйрек, қоқиқаз, шағала, бірқазан мекендейді. Бұл көлден мал суарылады, балық
ауланады. Жергілікті тұрғындар Шалқарды «Кіші теңіз» деп те атайды. Өйткені ол «Каспий
теңізінің» жұрнағы деп танылады.
Х
Шипалы
белгілі
ОҒЫС
арна​
Предмет: Математика, автор: elinaambarcumova4