Предмет: Алгебра, автор: derevolkovaaleksandr

Помогите пожалуйста 8 класс

Приложения:

Ответы

Автор ответа: natalyvd
1

Ответ:

Объяснение:

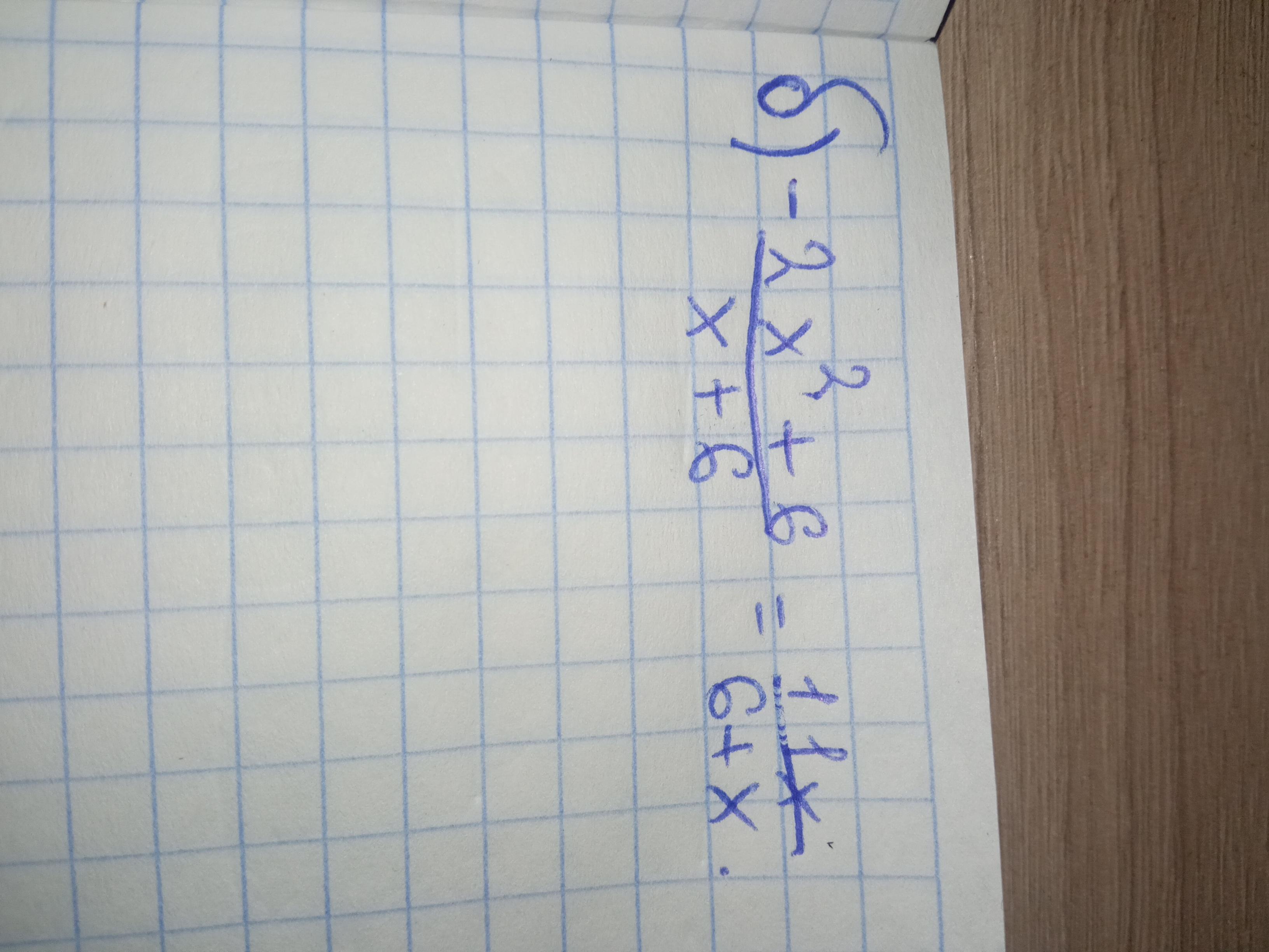
на фото

Приложения:
Автор ответа: VikaWinner
0

Ответ:

x= 0,5.

Объяснение:

\frac{-2x^{2}+6 }{x+6} = \frac{11x}{6+x}

От перемены мест слагаемых сумма не меняется, значит:

\frac{-2x^{2}+6 }{x+6} = \frac{11x}{x+6}

\frac{-2x^{2}+6 }{x+6} -\frac{11x}{x+6}=0

Теперь у дробей одинаковый знаменатель, значит:

\frac{-2x^{2}+6-11x }{x+6}=0

Чтобы уравнение было решаемым, в знаменателе не должно быть 0.

Чтобы в ответе получилось 0, надо чтобы в числитеое было 0.

Получаем квадратное уравнение:

-2x²-11x+6=0

x_{1,2} =\frac{-(-11)+-\sqrt{(-11)^{2}-4*(-2)*6} }{2*(-2)}

x_{1,2} =\frac{11+-\sqrt{121+48} }{-4}

x_{1,2} =\frac{11+-\sqrt{169} }{-4}

x_{1,2} =\frac{11+-13 }{-4}

x_{1} =\frac{11+13}{-4} = \frac{24}{-4} =-6

x_{2} =\frac{11-13}{-4} = \frac{-2}{-4} =0,5

Но -6 нам не подходит, т.к. -6+6=0 и тогда уравнение будет не решаемо, значит:

Ответ: 0,5.

Похожие вопросы
Предмет: Другие предметы, автор: AlKopibara
Предмет: Английский язык, автор: nelyglykhova