Предмет: Математика,
автор: anfisasx28
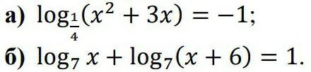
помогите пожалуйста
Приложения:
Ответы
Автор ответа:
1
Пошаговое объяснение:
хай буде 12,удачи
усміхайся
Приложения:
Похожие вопросы
Предмет: Английский язык,
автор: лебедева21
Предмет: Русский язык,
автор: Fioletovo09
Предмет: Русский язык,
автор: лил30
Предмет: Алгебра,
автор: veronikamatanina
Предмет: Биология,
автор: glebaschopish