Предмет: Алгебра,
автор: nikita138726
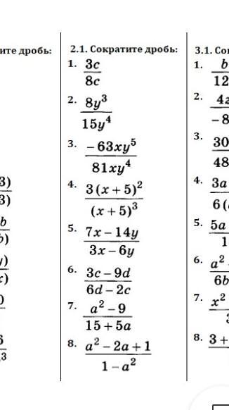
Пожалуйста помогите решить вариант 2.1, здесь нужно сократить алгеброические дроби
Приложения:
Ответы
Автор ответа:
0
Объяснение:
1)3/8
2)8/15y
3)-7y/9
4)3/х+5
5)7/3
6)-3/2
7)а-3/5
Похожие вопросы
Предмет: Русский язык,
автор: Yanacom9
Предмет: Русский язык,
автор: ApplE201211
Предмет: Другие предметы,
автор: tfg5tfg
Предмет: Биология,
автор: ilvina474
Предмет: Русский язык,
автор: tatianasergei