Предмет: Математика,
автор: Аноним
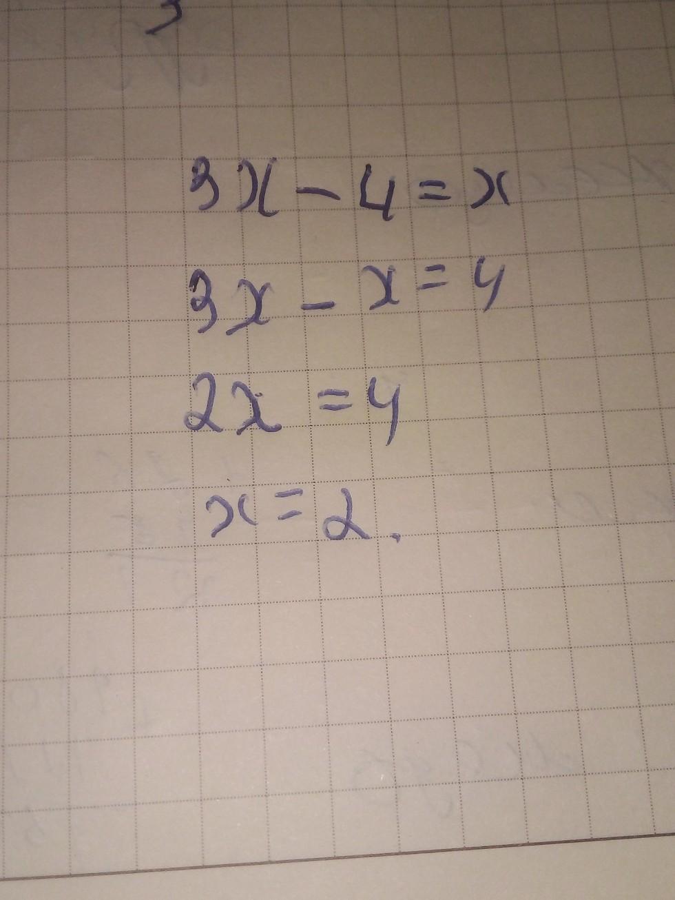
3х-4=х. срочнл. ьь ло
Ответы
Автор ответа:
0
Пошаговое объяснение:
тут все ессть удачи ооо рор
Приложения:
Автор ответа:
0
Ответ:
x = 2
Пошаговое объяснение:
1. Перенесем постоянную в правую часть и сменим ее знак:
3x-4=x ⇒ 3x-x=4
2. Приведем подобные члены:
3x-x=4 ⇒ 2x=4
3. Разделим обе стороны уравнения на 2 :
2x=4 ⇒ x=2
Похожие вопросы
Предмет: Русский язык,
автор: ApplE201211
Предмет: Русский язык,
автор: vasilina2004
Предмет: Английский язык,
автор: Lено4кА
Предмет: Русский язык,
автор: АринаБелочка1803
Предмет: Математика,
автор: alina6844