Предмет: Алгебра, автор: abekenova778

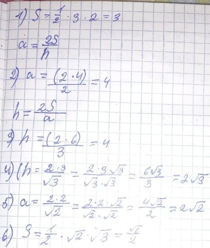
3.21. Пусть S площадь треугольника, а основание, проведенная к основанию, Заполните следующую таблицу:​

Приложения:

abekenova778: ок
abekenova778: спасибо

Ответы

Автор ответа: nadaslapak3
1

Ответ:

ответ дан на фотографиях

Приложения:
Похожие вопросы
Предмет: Технология, автор: qwerahio
1.Какой уровень профессионального образования предоставляет возмож-ность повышения уровня образования, научной и педагогической квали-фикации на базе высшего профессионального образования?
Выберите один ответ:
1)среднее профессиональное образование
2)начальное профессиональное образование
3)высшее профессиональное образование
4)послевузовское профессиональное образование

2.Укажите метод, который не относится к технологии послойного прототипирова-ния:
1)метод наплавления
2)электронно-лучевое резание
3)метод трехмерной печати
4)лазерная стереолитография

3.К непроизводственной сфере не относится:
1)грузовой транспорт
2)пассажирский транспорт
3)наука
4)образование

4.Для изготовления тонких пазов, щелей и прорезей размерами от нескольких десят-ков микрометров в деталях малой толщины используют:
1)гальванопластику
2)электронно-лучевую сварку
3)дуговую сварку
4)электронно-лучевое резание

5.Успех профессиональной карьеры зависит от многих факторов. К какой группе факторов относится социальная защита?
1)социально-экономические
2)личностные
3)служебно-производственные
4)не влияет на успех профессиональной карьеры


Предмет: Математика, автор: Историятрудная