Предмет: Математика,
автор: akula595
Розкрий дужки і спрости
вираз:
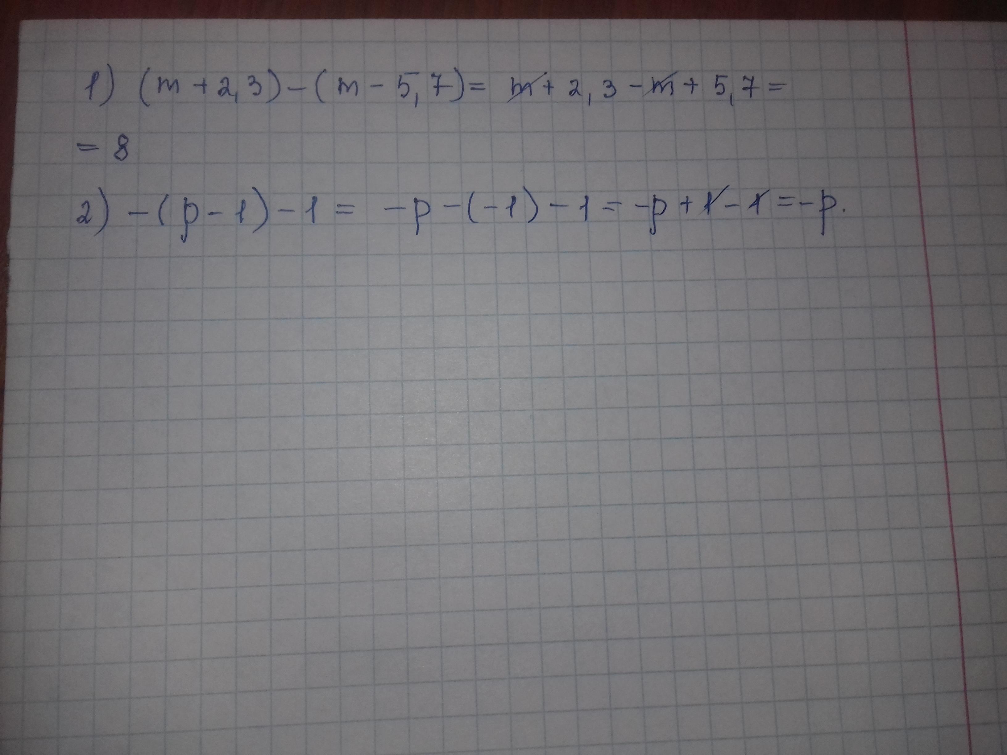
1) (m+2, 3)-(m-5, 7)=
2) -(р-1)-1=
Срочно
Ответы
Автор ответа:
0
Відповідь:
1)8 2)-p
Покрокове пояснення:
1)(m+2,3)-(m-5,7)=m+2,3-m+5,7=8
2)-(p-1)-1=-p+1-1=-p
Автор ответа:
0
Ответ:
8
-р
Пошаговое объяснение:
Приложения:
Похожие вопросы
Предмет: Русский язык,
автор: gurazoya
Предмет: Русский язык,
автор: коля2512
Предмет: Английский язык,
автор: elya2205
Предмет: Геометрия,
автор: marina220410
Предмет: Литература,
автор: kokya61