Предмет: Алгебра, автор: bataevaliza62

помогите пожалуйста>З
3 вариант нужно решить ​

Приложения:

Ответы

Автор ответа: Vivernar
1

Ответ:

1.

а) 1

б) 55

2. -490

3. Да, n=67

4. 1330

5. 52

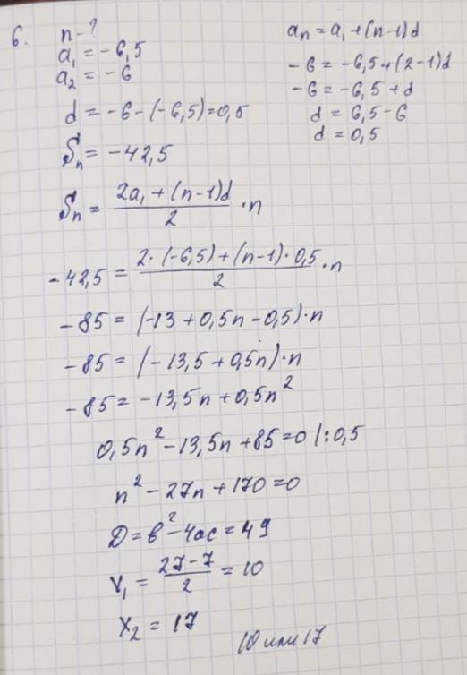
6. 10 и 17

Объяснение:

7.

Обозначим через х ту часть бассейна, которую может наполнить за одну минуту 1-я труба, а через у ту часть бассейна, которую может наполнить за одну минуту 2-я труба.

Согласно условию задачи, две трубы при совместной работе наполнили бассейн за 24 мин:

х + у = 1/24.

Также в условии задачи сказано, что в другой раз 1-я труба наполняла бассейн 21 минут, а 2-я труба 28 минуты, и они наполнили весь бассейн, следовательно:

21х + 28у = 1.

Решаем полученную систему уравнений.

Подставляя во 2-е уравнение значение у = 1/24 - х из 1-го уравнения, получаем:

21х + 28 * (1/24 - х) = 1;

21х + 28/24 - 28х = 1;

7/6 - 7х = 1;

7х = 1/6;

х = 1/42.

Находим у:

у = 1/24 - 1/42 = 1/56.

Ответ: первая труба наполнит бассейн за 42 минуты, вторая труба наполнит бассейн за 56 минут.

Приложения:

bataevaliza62: огромное спасибо
Похожие вопросы