Предмет: Математика, автор: alexanderpomazckin

Помогите решить неопределенный интеграл методом подстановки пожалуйста дам 30 баллов

Приложения:

Ответы

Автор ответа: Ilyazov45
0

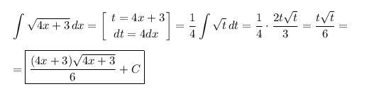
$\int{\sqrt{4x+3}}\,dx=\left [\ {t=4x+3} \atop {dt=4dx}} \right]=\frac{1}{4} \int\sqrt{t}\,dt=\frac{1}{4}\cdot\frac{2t\sqrt{t} }{3}=\frac{t\sqrt{t} }{6}=

$=\boxed{\frac{(4x+3)\sqrt{4x+3} }{6}+C}

Приложения:
Похожие вопросы
Предмет: Русский язык, автор: kaziev12332123